KEGG   COMPOUND: C22233
Entry
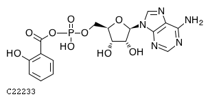
C22233                      Compound                               
Name
(Salicyl)adenylate;
2-Hydroxybenzoyl-AMP;
(2-Hydroxybenzoyl)adenylate
Formula
C17H18N5O9P
Exact mass
467.0842
Mol weight
467.33
Structure
Reaction
Enzyme
6.2.1.61        6.2.1.65
Other DBs
PubChem: 405226424
LinkDB
KCF data

ATOM        32
            1   O6a O     9.1700  -16.2400
            2   C7a C    10.3824  -16.9400
            3   O7a O    11.5779  -16.2496
            4   C8y C    10.3825  -18.3398
            5   C8y C     9.1533  -19.0498
            6   C8x C     9.1535  -20.4498
            7   C8x C    10.3661  -21.1496
            8   C8x C    11.5953  -20.4396
            9   C8x C    11.5951  -19.0396
            10  O1a O     7.9492  -18.3547
            11  N4y N    20.7660  -15.3768
            12  C8y C    21.8390  -16.1175
            13  C1y C    19.4831  -15.7967
            14  C8x C    21.2500  -13.9772
            15  C8y C    23.0753  -15.2076
            16  N5x N    21.9731  -17.5402
            17  O2x O    18.3401  -14.9394
            18  C1y C    19.0515  -17.0505
            19  N5x N    22.7022  -13.9831
            20  C8y C    24.3350  -15.7617
            21  C8x C    23.3027  -18.1292
            22  C1y C    17.2322  -15.7383
            23  C1y C    17.6636  -17.0505
            24  O1a O    19.7106  -18.1876
            25  N5x N    24.4982  -17.2546
            26  N1a N    25.4428  -14.9337
            27  C1b C    15.9084  -15.3069
            28  O1a O    17.2146  -18.3743
            29  O2b O    14.8704  -16.2340
            30  P1b P    13.4708  -16.2340
            31  O1c O    13.4651  -17.6336
            32  O1c O    13.4651  -14.8403
BOND        35
            1     1   2 2
            2     2   3 1
            3     2   4 1
            4     4   5 2
            5     5   6 1
            6     6   7 2
            7     7   8 1
            8     8   9 2
            9     4   9 1
            10    5  10 1
            11   11  12 1
            12   13  11 1 #Up
            13   11  14 1
            14   12  15 2
            15   12  16 1
            16   13  17 1
            17   13  18 1
            18   14  19 2
            19   15  20 1
            20   16  21 2
            21   17  22 1
            22   18  23 1
            23   18  24 1 #Down
            24   20  25 2
            25   20  26 1
            26   22  27 1 #Up
            27   23  28 1 #Down
            28   27  29 1
            29   29  30 1
            30   30  31 1
            31   30  32 2
            32   15  19 1
            33   21  25 1
            34   22  23 1
            35    3  30 1

» Japanese version

DBGET integrated database retrieval system