KEGG   COMPOUND: C22422
Entry
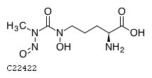
C22422                      Compound                               
Name
N(delta)-Hydroxy-N(omega)-methyl-N(omega)-nitroso-L-citrulline
Formula
C7H14N4O5
Exact mass
234.0964
Mol weight
234.21
Structure
Reaction
Enzyme
Other DBs
PubChem: 497619781
LinkDB
KCF data

ATOM        16
            1   C1a C    13.1677  -16.1795
            2   N1c N    14.3584  -16.8799
            3   C5a C    15.6192  -16.1795
            4   N1c N    16.8099  -16.8799
            5   C1b C    18.0006  -16.1795
            6   C1b C    19.2613  -16.8799
            7   C1b C    20.4520  -16.1795
            8   C1c C    21.6427  -16.8799
            9   C6a C    22.9035  -16.1795
            10  O6a O    24.0942  -16.8799
            11  O6a O    22.9035  -14.7787
            12  N1a N    21.6427  -18.2807
            13  O1b O    16.8099  -18.2807
            14  O5a O    15.6192  -14.7795
            15  N2b N    14.3584  -18.2799
            16  O3a O    13.1460  -18.9799
BOND        15
            1     1   2 1
            2     2   3 1
            3     3   4 1
            4     4   5 1
            5     5   6 1
            6     6   7 1
            7     7   8 1
            8     8   9 1
            9     9  10 1
            10    9  11 2
            11    8  12 1 #Up
            12    4  13 1
            13    3  14 2
            14    2  15 1
            15   15  16 2

» Japanese version

DBGET integrated database retrieval system