KEGG   REACTION: R12921
Entry
R12921                      Reaction                               
Name
Nomega-methyl-L-arginine,NADH:oxygen oxidoreductase (Ndelta-hydroxy-Nomega-methyl-Nomega-nitroso-L-citrulline-forming)
Definition
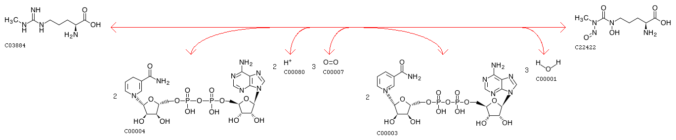
N(omega)-Methyl-L-arginine + 2 NADH + 2 H+ + 3 Oxygen <=> N(delta)-Hydroxy-N(omega)-methyl-N(omega)-nitroso-L-citrulline + 2 NAD+ + 3 H2O
Equation
C03884 + 2 C00004 + 2 C00080 + 3 C00007 <=> C22422 + 2 C00003 + 3 C00001
Comment
three-step reaction (see R12922+R12923+R12924)
Enzyme
Brite
Enzymatic reactions [BR:br08201]
 1. Oxidoreductase reactions
  1.14  Acting on paired donors, with incorporation or reduction of molecular oxygen
   1.14.13  With NADH or NADPH as one donor, and incorporation of one atom of oxygen into the other donor
    1.14.13.250
     R12921  N(omega)-Methyl-L-arginine + 2 NADH + 2 H+ + 3 Oxygen <=> N(delta)-Hydroxy-N(omega)-methyl-N(omega)-nitroso-L-citrulline + 2 NAD+ + 3 H2O
Other DBs
RHEA: 69055
LinkDB

DBGET integrated database retrieval system