KEGG   COMPOUND: C22904
Entry
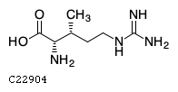
C22904                      Compound                               
Name
(3R)-3-Methyl-L-arginine
Formula
C7H16N4O2
Exact mass
188.1273
Mol weight
188.23
Structure
Reaction
Enzyme
Other DBs
PubChem: 497620255
LinkDB
KCF data

ATOM        13
            1   C1c C    17.5340  -15.6404
            2   C1b C    18.7264  -16.3417
            3   C1c C    16.2716  -16.3417
            4   C1b C    19.9187  -15.6404
            5   C6a C    15.0793  -15.6404
            6   N1a N    16.2716  -17.7444
            7   N1b N    21.1811  -16.3417
            8   O6a O    13.8168  -16.3417
            9   O6a O    15.0793  -14.2376
            10  C2c C    22.3033  -15.6404
            11  N1a N    23.4956  -16.3417
            12  N2a N    22.3033  -14.2376
            13  C1a C    17.5340  -14.2376
BOND        12
            1     1   2 1
            2     1   3 1
            3     2   4 1
            4     3   5 1
            5     3   6 1 #Down
            6     4   7 1
            7     5   8 1
            8     5   9 2
            9     7  10 1
            10   10  11 1
            11   10  12 2
            12    1  13 1 #Down

» Japanese version

DBGET integrated database retrieval system