| Entry |
|
| Name |
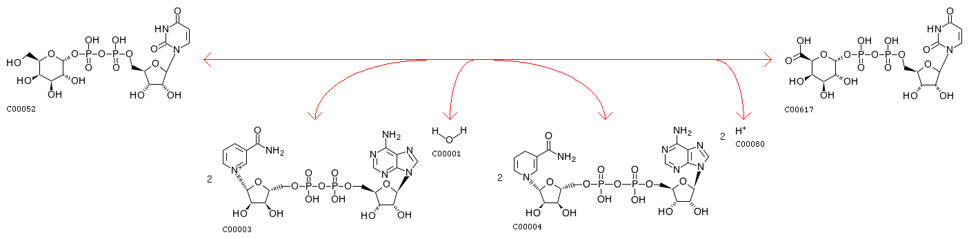
UDP-alpha-D-galactose:NAD+ 6-oxidoreductase
|
| Definition |
UDP-alpha-D-galactose + 2 NAD+ + H2O <=> UDP-D-galacturonate + 2 NADH + 2 H+
|
| Equation |
|
|
 |
| Comment |
UDP-D-galactose dehydrogenase, plant
|
| Reaction class |
|
| Enzyme |
1.1.1.-
|
| Pathway |
| rn00520 | Amino sugar and nucleotide sugar metabolism |
| rn01250 | Biosynthesis of nucleotide sugars |
|
| Brite |
Enzymatic reactions [BR:br08201]
1. Oxidoreductase reactions
1.1 Acting on the CH-OH group of donors
1.1.1 With NAD+ or NADP+ as acceptor
1.1.1.-
R00501 UDP-alpha-D-galactose + 2 NAD+ + H2O <=> UDP-D-galacturonate + 2 NADH + 2 H+
|
| LinkDB |
|