KEGG   COMPOUND: C00003
Entry
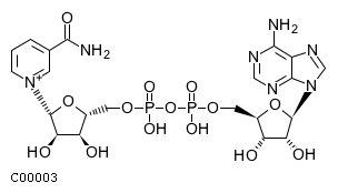
C00003                      Compound                               
Name
NAD+;
NAD;
Nicotinamide adenine dinucleotide;
DPN;
Diphosphopyridine nucleotide;
Nadide;
beta-NAD+
Formula
C21H28N7O14P2
Exact mass
664.1169
Mol weight
664.43
Structure
Remark
Same as: D00002
Reaction
R00023 R00090 R00091 R00092 R00093 R00094 R00095 R00100
R00101 R00102 R00103 R00104 R00112 R00118 R00137 R00143
R00145 R00189 R00203 R00209 R00214 R00215 R00228 R00243
R00245 R00257 R00286 R00295 R00300 R00342 R00365 R00368
R00382 R00384 R00396 R00398 R00402 R00421 R00445 R00446
R00501 R00519 R00538 R00555 R00562 R00581 R00604 R00605
R00623 R00624 R00631 R00675 R00688 R00700 R00703 R00704
R00705 R00707 R00709 R00710 R00713 R00715 R00717 R00732
R00754 R00758 R00787 R00794 R00812 R00813 R00818 R00823
R00842 R00861 R00868 R00875 R00880 R00892 R00904 R00906
R00922 R00935 R00936 R00937 R00977 R00994 R01000 R01033
R01034 R01036 R01061 R01088 R01093 R01094 R01130 R01142
R01158 R01163 R01171 R01172 R01183 R01202 R01210 R01211
R01218 R01221 R01246 R01248 R01258 R01277 R01293 R01296
R01297 R01308 R01333 R01337 R01361 R01370 R01388 R01403
R01414 R01419 R01426 R01429 R01434 R01446 R01451 R01465
R01486 R01487 R01505 R01513 R01520 R01524 R01542 R01574
R01604 R01608 R01629 R01633 R01636 R01644 R01651 R01683
R01689 R01698 R01704 R01707 R01728 R01735 R01738 R01745
R01749 R01752 R01757 R01758 R01763 R01768 R01773 R01778
R01781 R01793 R01825 R01836 R01837 R01869 R01872 R01895
R01896 R01903 R01921 R01932 R01933 R01934 R01937 R01975
R01981 R01998 R02000 R02032 R02039 R02047 R02081 R02103
R02123 R02124 R02163 R02196 R02201 R02207 R02216 R02229
R02235 R02246 R02252 R02257 R02258 R02313 R02343 R02344
R02347 R02352 R02354 R02377 R02383 R02391 R02395 R02401
R02434 R02441 R02450 R02454 R02455 R02462 R02471 R02476
R02492 R02499 R02514 R02515 R02527 R02531 R02536 R02544
R02545 R02549 R02553 R02555 R02561 R02565 R02580 R02589
R02611 R02618 R02637 R02640 R02651 R02655 R02678 R02679
R02683 R02695 R02698 R02703 R02762 R02766 R02792 R02819
R02823 R02830 R02834 R02840 R02847 R02855 R02878 R02896
R02928 R02935 R02940 R02941 R02944 R02945 R02946 R02957
R02964 R02968 R02969 R02988 R02994 R03012 R03021 R03022
R03023 R03043 R03048 R03080 R03082 R03088 R03102 R03104
R03119 R03171 R03176 R03177 R03191 R03198 R03226 R03251
R03261 R03278 R03279 R03283 R03291 R03299 R03300 R03306
R03317 R03327 R03337 R03349 R03369 R03373 R03381 R03385
R03391 R03396 R03397 R03406 R03431 R03439 R03447 R03475
R03476 R03497 R03506 R03543 R03544 R03559 R03560 R03577
R03582 R03584 R03591 R03608 R03614 R03630 R03637 R03643
R03707 R03709 R03732 R03733 R03745 R03759 R03761 R03763
R03787 R03790 R03792 R03815 R03816 R03826 R03847 R03863
R03869 R03882 R03886 R03889 R03913 R03942 R03945 R03947
R03963 R03964 R03998 R04046 R04049 R04065 R04066 R04074
R04088 R04115 R04123 R04130 R04139 R04142 R04151 R04163
R04176 R04185 R04198 R04200 R04203 R04210 R04228 R04236
R04251 R04263 R04278 R04304 R04307 R04309 R04330 R04339
R04375 R04412 R04418 R04426 R04429 R04444 R04483 R04506
R04517 R04524 R04556 R04598 R04600 R04678 R04681 R04687
R04724 R04737 R04739 R04741 R04743 R04745 R04748 R04805
R04810 R04812 R04818 R04824 R04829 R04831 R04832 R04834
R04835 R04837 R04842 R04844 R04845 R04847 R04849 R04862
R04876 R04880 R04882 R04888 R04891 R04903 R04916 R04955
R04958 R04961 R04966 R04969 R04996 R05049 R05050 R05051
R05066 R05084 R05119 R05148 R05154 R05156 R05157 R05158
R05217 R05232 R05233 R05234 R05235 R05236 R05239 R05240
R05241 R05243 R05247 R05261 R05263 R05271 R05272 R05273
R05274 R05275 R05281 R05282 R05283 R05286 R05290 R05292
R05294 R05305 R05307 R05309 R05310 R05311 R05312 R05313
R05314 R05315 R05321 R05322 R05347 R05348 R05349 R05351
R05352 R05353 R05354 R05355 R05395 R05397 R05399 R05414
R05417 R05418 R05422 R05423 R05425 R05426 R05428 R05429
R05430 R05431 R05434 R05435 R05437 R05439 R05440 R05444
R05448 R05450 R05475 R05515 R05537 R05571 R05575 R05581
R05582 R05604 R05607 R05621 R05632 R05643 R05649 R05653
R05654 R05655 R05665 R05666 R05668 R05678 R05679 R05681
R05683 R05685 R05689 R05690 R05693 R05699 R05700 R05705
R05715 R05724 R05729 R05730 R05746 R05812 R05831 R05837
R05843 R05875 R06117 R06180 R06289 R06357 R06366 R06376
R06377 R06378 R06379 R06382 R06383 R06384 R06385 R06398
R06399 R06406 R06407 R06408 R06413 R06438 R06594 R06621
R06782 R06783 R06784 R06785 R06786 R06787 R06831 R06832
R06847 R06848 R06856 R06857 R06883 R06884 R06888 R06891
R06894 R06909 R06910 R06914 R06915 R06916 R06917 R06918
R06919 R06926 R06927 R06928 R06930 R06931 R06935 R06936
R06937 R06939 R06941 R06945 R06954 R06980 R06983 R07058
R07104 R07105 R07133 R07134 R07135 R07136 R07141 R07145
R07146 R07148 R07156 R07164 R07168 R07171 R07188 R07194
R07326 R07345 R07349 R07351 R07354 R07358 R07410 R07417
R07428 R07441 R07477 R07478 R07618 R07658 R07665 R07667
R07675 R07703 R07704 R07705 R07706 R07709 R07765 R07781
R07799 R07890 R07894 R07898 R07936 R07952 R07954 R07955
R07957 R07959 R07961 R07963 R07965 R07967 R07969 R07971
R07973 R07975 R07985 R08017 R08018 R08042 R08043 R08044
R08045 R08046 R08047 R08086 R08087 R08094 R08096 R08100
R08101 R08103 R08104 R08105 R08108 R08109 R08110 R08111
R08112 R08113 R08140 R08141 R08146 R08198 R08214 R08215
R08240 R08281 R08282 R08306 R08307 R08310 R08382 R08385
R08536 R08544 R08549 R08550 R08557 R08569 R08590 R08621
R08625 R08629 R08636 R08642 R08646 R08709 R08721 R08723
R08724 R08728 R08764 R08767 R08846 R08892 R08914 R08916
R08918 R08919 R08926 R08945 R09055 R09069 R09078 R09097
R09129 R09130 R09132 R09137 R09141 R09148 R09151 R09152
R09159 R09160 R09162 R09165 R09183 R09201 R09204 R09209
R09213 R09219 R09223 R09224 R09227 R09228 R09230 R09231
R09232 R09233 R09235 R09236 R09288 R09312 R09375 R09385
R09388 R09447 R09472 R09477 R09478 R09484 R09498 R09508
R09513 R09514 R09524 R09544 R09545 R09561 R09567 R09586
R09662 R09748 R09750 R09783 R09786 R09805 R09830 R09920
R09951 R09953 R09956 R09957 R09981 R09984 R09986 R09988
R10012 R10020 R10021 R10042 R10043 R10048 R10052 R10054
R10106 R10107 R10108 R10113 R10125 R10126 R10128 R10129
R10131 R10140 R10146 R10156 R10161 R10163 R10189 R10190
R10217 R10218 R10221 R10222 R10301 R10308 R10310 R10311
R10325 R10332 R10412 R10419 R10420 R10422 R10428 R10459
R10467 R10502 R10504 R10505 R10517 R10519 R10520 R10565
R10629 R10633 R10634 R10635 R10685 R10690 R10702 R10703
R10715 R10717 R10718 R10719 R10783 R10785 R10790 R10798
R10800 R10841 R10842 R10848 R10860 R10861 R10907 R10916
R10917 R10918 R10981 R10985 R10986 R10995 R11007 R11026
R11031 R11035 R11036 R11056 R11067 R11091 R11092 R11093
R11121 R11144 R11147 R11149 R11150 R11151 R11153 R11155
R11156 R11158 R11164 R11197 R11231 R11243 R11265 R11290
R11336 R11337 R11338 R11339 R11342 R11346 R11347 R11350
R11373 R11374 R11382 R11384 R11424 R11448 R11471 R11472
R11504 R11505 R11578 R11585 R11637 R11638 R11655 R11666
R11669 R11674 R11675 R11676 R11677 R11696 R11724 R11726
R11730 R11768 R11770 R11818 R11875 R11876 R11901 R11907
R11945 R12025 R12026 R12035 R12053 R12105 R12106 R12107
R12108 R12109 R12110 R12111 R12146 R12215 R12236 R12256
R12265 R12319 R12320 R12328 R12337 R12357 R12358 R12359
R12360 R12361 R12366 R12371 R12375 R12376 R12457 R12483
R12484 R12502 R12503 R12511 R12517 R12522 R12523 R12539
R12544 R12546 R12548 R12560 R12579 R12713 R12760 R12785
R12838 R12921 R12922 R12923 R12952 R12953 R12964 R12971
R12980 R12987 R12988 R13009 R13016 R13021 R13039 R13041
R13049 R13050 R13070 R13071 R13072 R13073 R13093 R13136
R13176 R13177 R13186 R13206 R13207 R13208 R13211 R13216
R13221 R13222 R13233 R13255 R13261 R13265 R13269 R13273
R13283 R13402 R13408 R13435 R13466 R13470 R13539 R13565
R13567 R13568 R13571 R13573 R13575 R13589 R13605 R13611
R13633
 » show all
Pathway
map00190  Oxidative phosphorylation
map00730  Thiamine metabolism
map00760  Nicotinate and nicotinamide metabolism
map00983  Drug metabolism - other enzymes
map01100  Metabolic pathways
map01240  Biosynthesis of cofactors
map04148  Efferocytosis
map04152  AMPK signaling pathway
map04211  Longevity regulating pathway
map04212  Longevity regulating pathway - worm
map04925  Aldosterone synthesis and secretion
map04936  Alcoholic liver disease
map04977  Vitamin digestion and absorption
map05208  Chemical carcinogenesis - reactive oxygen species
Module
M00115  NAD biosynthesis, aspartate => quinolinate => NAD
M00142  NADH:ubiquinone oxidoreductase, mitochondria
M00143  NADH dehydrogenase (ubiquinone) Fe-S protein/flavoprotein complex, mitochondria
M00144  NADH:quinone oxidoreductase, prokaryotes
M00145  NAD(P)H:quinone oxidoreductase, chloroplasts and cyanobacteria
M00146  NADH dehydrogenase (ubiquinone) 1 alpha subcomplex
M00147  NADH dehydrogenase (ubiquinone) 1 beta subcomplex
M00896  Thiamine biosynthesis, archaea, AIR (+ NAD+) => TMP/TPP
M00897  Thiamine biosynthesis, plants, AIR (+ NAD+) => TMP/thiamine/TPP
M00898  Thiamine biosynthesis, pyridoxal-5P => TMP/thiamine/TPP
M00912  NAD biosynthesis, tryptophan => quinolinate => NAD
Network
nt06036  Lysine degradation
nt06535  Efferocytosis
Enzyme
1.1.1.1         1.1.1.3         1.1.1.4         1.1.1.6         
1.1.1.7         1.1.1.8         1.1.1.9         1.1.1.11        
1.1.1.12        1.1.1.13        1.1.1.14        1.1.1.15        
1.1.1.16        1.1.1.17        1.1.1.18        1.1.1.21        
1.1.1.22        1.1.1.23        1.1.1.24        1.1.1.26        
1.1.1.27        1.1.1.28        1.1.1.29        1.1.1.30        
1.1.1.31        1.1.1.35        1.1.1.37        1.1.1.38        
1.1.1.39        1.1.1.41        1.1.1.43        1.1.1.45        
1.1.1.46        1.1.1.47        1.1.1.48        1.1.1.50        
1.1.1.51        1.1.1.52        1.1.1.53        1.1.1.56        
1.1.1.57        1.1.1.58        1.1.1.59        1.1.1.60        
1.1.1.61        1.1.1.62        1.1.1.66        1.1.1.67        
1.1.1.69        1.1.1.71        1.1.1.72        1.1.1.73        
1.1.1.75        1.1.1.76        1.1.1.77        1.1.1.78        
1.1.1.79        1.1.1.81        1.1.1.83        1.1.1.84        
1.1.1.85        1.1.1.87        1.1.1.88        1.1.1.90        
1.1.1.92        1.1.1.93        1.1.1.94        1.1.1.95        
1.1.1.98        1.1.1.99        1.1.1.103       1.1.1.104       
1.1.1.105       1.1.1.106       1.1.1.107       1.1.1.108       
1.1.1.110       1.1.1.111       1.1.1.112       1.1.1.114       
1.1.1.116       1.1.1.117       1.1.1.118       1.1.1.121       
1.1.1.122       1.1.1.125       1.1.1.127       1.1.1.129       
1.1.1.130       1.1.1.131       1.1.1.132       1.1.1.135       
1.1.1.136       1.1.1.137       1.1.1.140       1.1.1.141       
1.1.1.143       1.1.1.144       1.1.1.145       1.1.1.147       
1.1.1.148       1.1.1.149       1.1.1.150       1.1.1.152       
1.1.1.154       1.1.1.157       1.1.1.159       1.1.1.163       
1.1.1.164       1.1.1.165       1.1.1.166       1.1.1.167       
1.1.1.170       1.1.1.172       1.1.1.173       1.1.1.174       
1.1.1.175       1.1.1.178       1.1.1.181       1.1.1.185       
1.1.1.186       1.1.1.187       1.1.1.190       1.1.1.192       
1.1.1.198       1.1.1.199       1.1.1.202       1.1.1.203       
1.1.1.205       1.1.1.209       1.1.1.211       1.1.1.212       
1.1.1.213       1.1.1.218       1.1.1.221       1.1.1.223       
1.1.1.226       1.1.1.227       1.1.1.228       1.1.1.232       
1.1.1.233       1.1.1.237       1.1.1.239       1.1.1.240       
1.1.1.241       1.1.1.244       1.1.1.245       1.1.1.250       
1.1.1.251       1.1.1.254       1.1.1.255       1.1.1.256       
1.1.1.257       1.1.1.258       1.1.1.259       1.1.1.260       
1.1.1.261       1.1.1.262       1.1.1.264       1.1.1.265       
1.1.1.268       1.1.1.269       1.1.1.275       1.1.1.281       
1.1.1.282       1.1.1.284       1.1.1.285       1.1.1.286       
1.1.1.288       1.1.1.290       1.1.1.291       1.1.1.294       
1.1.1.295       1.1.1.296       1.1.1.297       1.1.1.299       
1.1.1.301       1.1.1.302       1.1.1.303       1.1.1.304       
1.1.1.305       1.1.1.306       1.1.1.307       1.1.1.308       
1.1.1.309       1.1.1.310       1.1.1.311       1.1.1.312       
1.1.1.315       1.1.1.316       1.1.1.322       1.1.1.323       
1.1.1.326       1.1.1.327       1.1.1.328       1.1.1.329       
1.1.1.331       1.1.1.332       1.1.1.333       1.1.1.335       
1.1.1.336       1.1.1.337       1.1.1.339       1.1.1.340       
1.1.1.343       1.1.1.344       1.1.1.345       1.1.1.347       
1.1.1.350       1.1.1.351       1.1.1.352       1.1.1.354       
1.1.1.356       1.1.1.357       1.1.1.359       1.1.1.361       
1.1.1.363       1.1.1.364       1.1.1.366       1.1.1.368       
1.1.1.369       1.1.1.370       1.1.1.373       1.1.1.374       
1.1.1.375       1.1.1.376       1.1.1.378       1.1.1.379       
1.1.1.380       1.1.1.382       1.1.1.383       1.1.1.385       
1.1.1.386       1.1.1.387       1.1.1.388       1.1.1.389       
1.1.1.390       1.1.1.391       1.1.1.394       1.1.1.396       
1.1.1.397       1.1.1.399       1.1.1.400       1.1.1.401       
1.1.1.403       1.1.1.404       1.1.1.406       1.1.1.407       
1.1.1.408       1.1.1.409       1.1.1.414       1.1.1.415       
1.1.1.416       1.1.1.417       1.1.1.418       1.1.1.419       
1.1.1.420       1.1.1.421       1.1.1.422       1.1.1.423       
1.1.1.425       1.1.1.426       1.1.1.428       1.1.1.429       
1.1.1.430       1.1.1.433       1.1.1.434       1.1.1.436       
1.1.1.438       1.1.1.441       1.1.1.442       1.1.1.444       
1.1.1.-         1.1.-.-         1.2.1.3         1.2.1.5         
1.2.1.8         1.2.1.10        1.2.1.12        1.2.1.15        
1.2.1.16        1.2.1.18        1.2.1.19        1.2.1.20        
1.2.1.21        1.2.1.22        1.2.1.23        1.2.1.24        
1.2.1.25        1.2.1.27        1.2.1.28        1.2.1.29        
1.2.1.31        1.2.1.32        1.2.1.33        1.2.1.36        
1.2.1.39        1.2.1.42        1.2.1.46        1.2.1.47        
1.2.1.48        1.2.1.53        1.2.1.54        1.2.1.57        
1.2.1.58        1.2.1.59        1.2.1.60        1.2.1.61        
1.2.1.62        1.2.1.64        1.2.1.65        1.2.1.67        
1.2.1.68        1.2.1.69        1.2.1.71        1.2.1.72        
1.2.1.73        1.2.1.74        1.2.1.78        1.2.1.80        
1.2.1.82        1.2.1.85        1.2.1.86        1.2.1.87        
1.2.1.88        1.2.1.90        1.2.1.92        1.2.1.97        
1.2.1.98        1.2.1.99        1.2.1.100       1.2.1.102       
1.2.1.104       1.2.1.105       1.2.1.107       1.2.1.108       
1.2.1.-         1.2.3.9         1.2.4.-         1.3.1.1         
1.3.1.5         1.3.1.6         1.3.1.7         1.3.1.9         
1.3.1.11        1.3.1.12        1.3.1.14        1.3.1.18        
1.3.1.19        1.3.1.21        1.3.1.24        1.3.1.25        
1.3.1.28        1.3.1.29        1.3.1.31        1.3.1.32        
1.3.1.41        1.3.1.43        1.3.1.44        1.3.1.47        
1.3.1.48        1.3.1.49        1.3.1.53        1.3.1.56        
1.3.1.58        1.3.1.60        1.3.1.62        1.3.1.64        
1.3.1.65        1.3.1.66        1.3.1.67        1.3.1.68        
1.3.1.74        1.3.1.76        1.3.1.77        1.3.1.79        
1.3.1.87        1.3.1.95        1.3.1.98        1.3.1.101       
1.3.1.106       1.3.1.107       1.3.1.108       1.3.1.109       
1.3.1.114       1.3.1.115       1.3.1.116       1.3.1.118       
1.3.1.119       1.3.1.121       1.3.1.122       1.3.1.125       
1.3.1.126       1.3.1.-         1.4.1.1         1.4.1.2         
1.4.1.3         1.4.1.4         1.4.1.5         1.4.1.7         
1.4.1.8         1.4.1.9         1.4.1.10        1.4.1.11        
1.4.1.12        1.4.1.14        1.4.1.15        1.4.1.18        
1.4.1.19        1.4.1.20        1.4.1.21        1.4.1.23        
1.4.1.24        1.4.1.25        1.4.1.26        1.4.1.27        
1.4.1.28        1.4.1.29        1.4.1.-         1.5.1.1         
1.5.1.2         1.5.1.3         1.5.1.7         1.5.1.9         
1.5.1.11        1.5.1.15        1.5.1.17        1.5.1.18        
1.5.1.20        1.5.1.22        1.5.1.23        1.5.1.25        
1.5.1.26        1.5.1.28        1.5.1.34        1.5.1.36        
1.5.1.37        1.5.1.39        1.5.1.41        1.5.1.42        
1.5.1.44        1.5.1.45        1.5.1.47        1.5.1.49        
1.5.1.51        1.5.1.54        1.5.1.-         1.6.1.1         
1.6.1.3         1.6.2.2         1.6.2.6         1.6.3.1         
1.6.3.2         1.6.3.3         1.6.3.4         1.6.3.5         
1.6.5.2         1.6.5.4         1.6.5.7         1.6.5.9         
1.6.5.-         1.7.1.1         1.7.1.2         1.7.1.4         
1.7.1.5         1.7.1.9         1.7.1.10        1.7.1.12        
1.7.1.14        1.7.1.15        1.7.1.17        1.7.1.-         
1.7.99.1        1.8.1.4         1.8.1.6         1.8.1.7         
1.8.1.8         1.8.1.11        1.8.1.15        1.8.1.16        
1.8.1.17        1.8.1.18        1.8.1.20        1.8.1.21        
1.8.1.22        1.11.1.1        1.11.1.26       1.12.1.2        
1.12.1.4        1.12.1.5        1.13.11.29      1.13.11.30      
1.13.11.-       1.13.12.17      1.13.12.-       1.14.12.1       
1.14.12.3       1.14.12.7       1.14.12.8       1.14.12.9       
1.14.12.10      1.14.12.11      1.14.12.12      1.14.12.13      
1.14.12.14      1.14.12.15      1.14.12.16      1.14.12.17      
1.14.12.18      1.14.12.19      1.14.12.22      1.14.12.23      
1.14.12.24      1.14.12.25      1.14.12.26      1.14.12.-       
1.14.13.1       1.14.13.4       1.14.13.5       1.14.13.6       
1.14.13.10      1.14.13.18      1.14.13.19      1.14.13.24      
1.14.13.25      1.14.13.27      1.14.13.29      1.14.13.33      
1.14.13.40      1.14.13.44      1.14.13.61      1.14.13.62      
1.14.13.63      1.14.13.64      1.14.13.69      1.14.13.82      
1.14.13.83      1.14.13.107     1.14.13.111     1.14.13.113     
1.14.13.114     1.14.13.127     1.14.13.128     1.14.13.130     
1.14.13.131     1.14.13.135     1.14.13.163     1.14.13.172     
1.14.13.178     1.14.13.179     1.14.13.182     1.14.13.196     
1.14.13.209     1.14.13.210     1.14.13.211     1.14.13.212     
1.14.13.215     1.14.13.216     1.14.13.217     1.14.13.218     
1.14.13.220     1.14.13.222     1.14.13.223     1.14.13.224     
1.14.13.227     1.14.13.230     1.14.13.235     1.14.13.236     
1.14.13.239     1.14.13.242     1.14.13.243     1.14.13.244     
1.14.13.245     1.14.13.246     1.14.13.247     1.14.13.250     
1.14.13.251     1.14.13.253     1.14.13.-       1.14.14.1       
1.14.14.9       1.14.14.22      1.14.15.3       1.14.18.1       
1.14.19.21      1.14.99.2       1.14.99.46      1.14.-.-        
1.16.1.2        1.16.1.7        1.17.1.1        1.17.1.4        
1.17.1.8        1.17.1.9        1.17.1.11       1.18.1.1        
1.18.1.3        1.18.1.4        1.18.1.5        1.18.1.7        
1.20.1.1        1.20.1.2        1.-.-.-         2.1.1.74        
2.3.1.190       2.3.1.281       2.3.1.286       2.3.1.313       
2.3.1.-         2.4.2.30        2.4.2.31        2.4.2.36        
2.4.2.37        2.4.2.59        2.4.2.60        2.5.1.46        
2.5.1.161       2.6.1.121       2.7.1.23        2.7.1.236       
2.7.7.1         2.7.7.18        3.1.3.108       3.1.3.-         
3.2.2.5         3.2.2.6         3.5.1.-         3.6.1.9         
3.6.1.22        4.3.1.22        5.3.3.1         6.3.1.5         
6.3.5.1         6.5.1.2         6.5.1.6         7.1.1.1         
7.1.1.2
 » show all
Brite
Compounds with biological roles [BR:br08001]
 Vitamins and cofactors
  Cofactors
   Coenzymes
    C00003  NAD
Anatomical Therapeutic Chemical (ATC) classification [BR:br08303]
 A ALIMENTARY TRACT AND METABOLISM
  A11 VITAMINS
   A11H OTHER PLAIN VITAMIN PREPARATIONS
    A11HA Other plain vitamin preparations
     A11HA01 Nicotinamide
      D00002  Nadide (JAN/USAN/INN)
Other DBs
CAS: 53-84-9
PubChem: 3305
ChEBI: 15846
KNApSAcK: C00007256
PDB-CCD: NAD[PDBj] NAJ[PDBj]
NIKKAJI: J136.554A
LinkDB
KCF data

ATOM        44
            1   C1y C    25.0600  -20.1600
            2   C1y C    26.4600  -20.1600
            3   C1y C    26.8800  -18.9000
            4   O2x O    25.7600  -18.0600
            5   C1y C    24.6400  -18.9000
            6   O1a O    24.2900  -21.2800
            7   O1a O    27.2300  -21.2800
            8   C1b C    28.1400  -18.4800
            9   N5y N    23.3800  -16.8700 #+
            10  O2b O    29.4700  -18.4800
            11  P1b P    30.8700  -18.4800
            12  O2c O    32.2000  -18.4800
            13  P1b P    33.5300  -18.4800
            14  O2b O    34.8600  -18.4800
            15  O1c O    30.8700  -17.1500
            16  O1c O    33.5300  -17.1500
            17  O1c O    30.8700  -19.8100
            18  O1c O    33.5300  -19.8100
            19  C8x C    24.5700  -16.1700
            20  C8y C    24.5700  -14.8400
            21  C8x C    23.3800  -14.1400
            22  C8x C    22.1900  -14.8400
            23  C8x C    22.1900  -16.1700
            24  C5a C    25.6900  -14.1400
            25  N1a N    26.8800  -14.8400
            26  O5a O    25.6900  -12.8100
            27  C1y C    37.6600  -19.1100
            28  C1y C    38.0800  -20.3700
            29  C1y C    39.4800  -20.3700
            30  C1y C    39.8300  -19.1100
            31  O2x O    38.7800  -18.2700
            32  C1b C    36.2600  -18.4800
            33  N4y N    41.0900  -17.0800
            34  O1a O    37.3100  -21.4900
            35  O1a O    40.2500  -21.4200
            36  C8x C    41.9300  -15.9600
            37  N5x N    41.1600  -14.8400
            38  C8y C    39.8300  -15.2600
            39  C8y C    39.8300  -16.5900
            40  C8y C    38.7100  -14.5600
            41  N5x N    37.4500  -15.2600
            42  C8x C    37.4500  -16.5900
            43  N5x N    38.6400  -17.2900
            44  N1a N    38.7100  -13.2300
BOND        48
            1     1   2 1
            2     2   3 1
            3     3   4 1
            4     4   5 1
            5     1   5 1
            6     1   6 1 #Up
            7     2   7 1 #Up
            8     3   8 1 #Down
            9     5   9 1 #Down
            10    8  10 1
            11   10  11 1
            12   11  12 1
            13   12  13 1
            14   13  14 1
            15   11  15 2
            16   13  16 2
            17   11  17 1
            18   13  18 1
            19    9  19 2
            20   19  20 1
            21   20  21 2
            22   21  22 1
            23   22  23 2
            24    9  23 1
            25   20  24 1
            26   24  25 1
            27   24  26 2
            28   27  28 1
            29   28  29 1
            30   29  30 1
            31   30  31 1
            32   27  31 1
            33   27  32 1 #Up
            34   14  32 1
            35   30  33 1 #Up
            36   28  34 1 #Down
            37   29  35 1 #Down
            38   33  36 1
            39   36  37 2
            40   37  38 1
            41   38  39 1
            42   33  39 1
            43   38  40 2
            44   40  41 1
            45   41  42 2
            46   42  43 1
            47   39  43 2
            48   40  44 1

» Japanese version

DBGET integrated database retrieval system