| Entry |
|
| Name |
aldehyde:NAD+ oxidoreductase
|
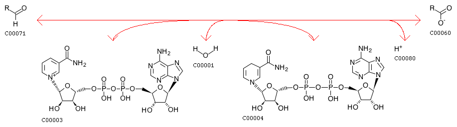
| Definition |
Aldehyde + NAD+ + H2O <=> Carboxylate + NADH + H+
|
| Equation |
|
|
 |
| Comment |
|
| Reaction class |
|
| Enzyme |
|
| Brite |
Enzymatic reactions [BR:br08201]
1. Oxidoreductase reactions
1.2 Acting on the aldehyde or oxo group of donors
1.2.1 With NAD+ or NADP+ as acceptor
1.2.1.3
R00538 Aldehyde + NAD+ + H2O <=> Carboxylate + NADH + H+
1.2.1.5
R00538 Aldehyde + NAD+ + H2O <=> Carboxylate + NADH + H+
IUBMB reaction hierarchy [BR:br08202]
1. Oxidoreductase reactions
1.2.1.3
R00538 Aldehyde <=> Carboxylate
1.2.1.5
R00538 Aldehyde <=> Carboxylate
|
| Other DBs |
|
| LinkDB |
|