KEGG   REACTION: R00555
Entry
R00555                      Reaction                               
Name
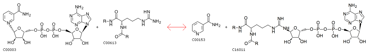
NAD+:protein-L-arginine ADP-D-ribosyltransferase
Definition
NAD+ + Protein-L-arginine <=> Nicotinamide + Protein-omega-N-(ADP-D-ribosyl)-L-arginine
Equation
Reaction class
RC00033  C00003_C00153
RC00178  C00613_C16011
Enzyme
Brite
Enzymatic reactions [BR:br08201]
 2. Transferase reactions
  2.4  Glycosyltransferases
   2.4.2  Pentosyltransferases
    2.4.2.31
     R00555  NAD+ + Protein-L-arginine <=> Nicotinamide + Protein-omega-N-(ADP-D-ribosyl)-L-arginine
Other DBs
RHEA: 19152
LinkDB

DBGET integrated database retrieval system