| Entry |
|
| Name |
CDPglycerol phosphoglycerohydrolase
|
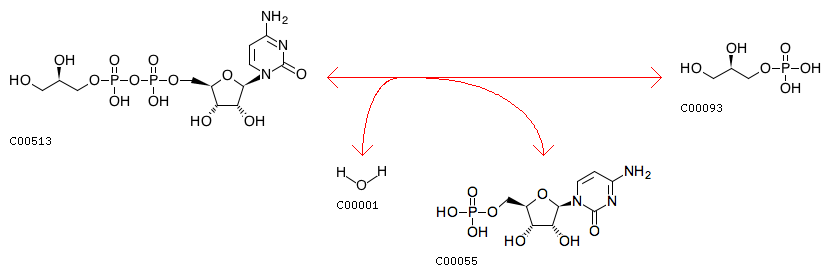
| Definition |
CDP-glycerol + H2O <=> CMP + sn-Glycerol 3-phosphate
|
| Equation |
|
|
 |
| Reaction class |
| RC00002 | C00055_C00513 C00093_C00513 |
|
| Enzyme |
|
| Pathway |
| rn00564 | Glycerophospholipid metabolism |
|
| Brite |
Enzymatic reactions [BR:br08201]
3. Hydrolase reactions
3.6 Acting on acid anhydrides
3.6.1 In phosphorus-containing anhydrides
3.6.1.16
R00855 CDP-glycerol + H2O <=> CMP + sn-Glycerol 3-phosphate
|
| Orthology |
|
| Other DBs |
|
| LinkDB |
|