KEGG   REACTION: R00887
Entry
R00887                      Reaction                               
Definition
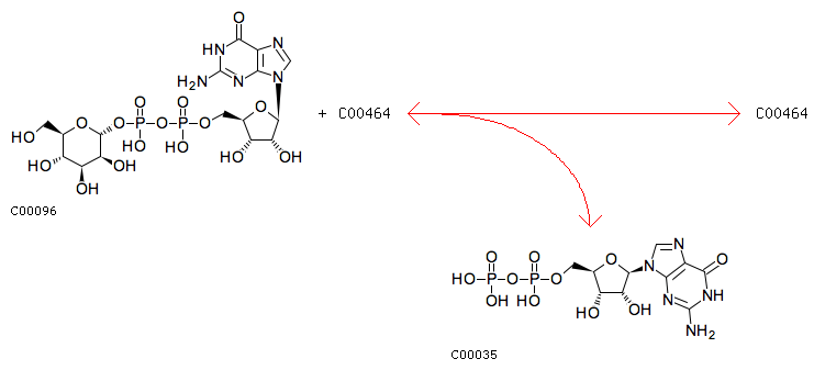
GDP-mannose + Mannan(n) <=> GDP + Mannan(n+1)
Equation
C00096 + C00464(n) <=> C00035 + C00464(n+1)
Enzyme
2.4.1.-
Pathway
rn00051  Fructose and mannose metabolism
rn01100  Metabolic pathways
Brite
Enzymatic reactions [BR:br08201]
 2. Transferase reactions
  2.4  Glycosyltransferases
   2.4.1  Hexosyltransferases
    2.4.1.-
     R00887  GDP-mannose + Mannan(n) <=> GDP + Mannan(n+1)
LinkDB

DBGET integrated database retrieval system