KEGG   REACTION: R00922
Entry
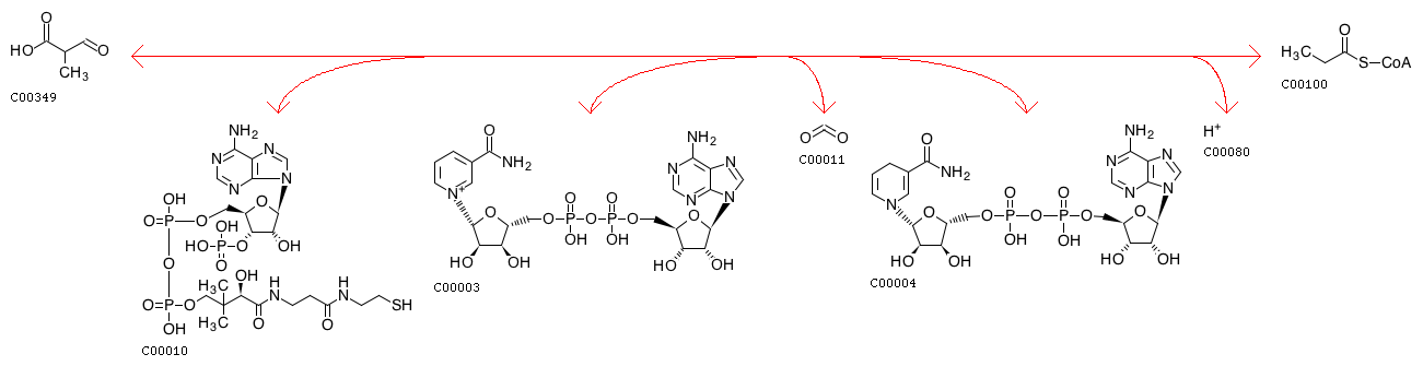
R00922                      Reaction                               
Name
2-methyl-3-oxopropanoate:NAD+ oxidoreductase (CoA-propanoylating)
Definition
2-Methyl-3-oxopropanoate + CoA + NAD+ <=> Propanoyl-CoA + CO2 + NADH + H+
Equation
Reaction class
RC00001  C00003_C00004
RC00004  C00010_C00100
RC02817  C00100_C00349
Enzyme
Pathway
rn00280  Valine, leucine and isoleucine degradation
Brite
Enzymatic reactions [BR:br08201]
 1. Oxidoreductase reactions
  1.2  Acting on the aldehyde or oxo group of donors
   1.2.1  With NAD+ or NADP+ as acceptor
    1.2.1.27
     R00922  2-Methyl-3-oxopropanoate + CoA + NAD+ <=> Propanoyl-CoA + CO2 + NADH + H+
IUBMB reaction hierarchy [BR:br08202]
 1. Oxidoreductase reactions
  1.2.1.27
   R00922  2-Methyl-3-oxopropanoate
Orthology
K00140  malonate-semialdehyde dehydrogenase (acetylating) / methylmalonate-semialdehyde dehydrogenase [EC:1.2.1.18 1.2.1.27]
Other DBs
RHEA: 20807
LinkDB

DBGET integrated database retrieval system