REACTION: R01202
Help
Entry
R01202 Reaction
Name
N-acetyl-D-glucosamine:NAD+ 1-oxidoreductase
Definition
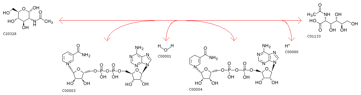
N-Acetyl-alpha-D-glucosamine + NAD+ + H2O <=> N-Acetyl-D-glucosaminate + NADH + H+
Equation
C20328
+
C00003
+
C00001
<=>
C01133
+
C00004
+
C00080
Reaction class
RC00001
C00003_C00004
RC00194
C01133_C20328
Enzyme
1.1.1.240
Brite
Enzymatic reactions [BR:
br08201
]
1. Oxidoreductase reactions
1.1 Acting on the CH-OH group of donors
1.1.1 With NAD+ or NADP+ as acceptor
1.1.1.240
R01202 N-Acetyl-alpha-D-glucosamine + NAD+ + H2O <=> N-Acetyl-D-glucosaminate + NADH + H+
BRITE hierarchy
Other DBs
RHEA:
23147
LinkDB
All DBs
DBGET
integrated database retrieval system