KEGG   REACTION: R01298
Entry
R01298                      Reaction                               
Name
4-hydroxybenzoate,NADPH:oxygen oxidoreductase (3-hydroxylating)
Definition
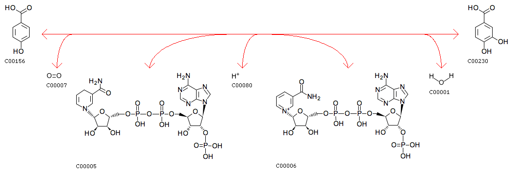
4-Hydroxybenzoate + Oxygen + NADPH + H+ <=> 3,4-Dihydroxybenzoate + NADP+ + H2O
Equation
Comment
NADH (ec 1.14.13.33, see R1296)
Reaction class
RC00001  C00005_C00006
RC00046  C00156_C00230
Enzyme
1.14.13.2       1.14.13.33
Pathway
rn00362  Benzoate degradation
rn01100  Metabolic pathways
rn01120  Microbial metabolism in diverse environments
rn01220  Degradation of aromatic compounds
Brite
Enzymatic reactions [BR:br08201]
 1. Oxidoreductase reactions
  1.14  Acting on paired donors, with incorporation or reduction of molecular oxygen
   1.14.13  With NADH or NADPH as one donor, and incorporation of one atom of oxygen into the other donor
    1.14.13.2
     R01298  4-Hydroxybenzoate + Oxygen + NADPH + H+ <=> 3,4-Dihydroxybenzoate + NADP+ + H2O
    1.14.13.33
     R01298  4-Hydroxybenzoate + Oxygen + NADPH + H+ <=> 3,4-Dihydroxybenzoate + NADP+ + H2O
Orthology
K00481  p-hydroxybenzoate 3-monooxygenase [EC:1.14.13.2]
Other DBs
RHEA: 19480
LinkDB

DBGET integrated database retrieval system