| Entry |
|
| Name |
UDPglucuronate beta-D-glucuronosyltransferase (acceptor-unspecific)
|
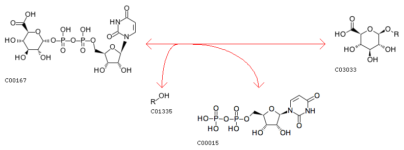
| Definition |
UDP-glucuronate + ROH <=> UDP + beta-D-Glucuronoside
|
| Equation |
|
|
 |
| Reaction class |
|
| Enzyme |
|
| Pathway |
| rn00040 | Pentose and glucuronate interconversions |
| rn00053 | Ascorbate and aldarate metabolism |
|
| Module |
| M00014 | Glucuronate pathway (uronate pathway) |
| M00129 | Ascorbate biosynthesis, animals, glucose-1P => ascorbate |
|
| Brite |
Enzymatic reactions [BR:br08201]
2. Transferase reactions
2.4 Glycosyltransferases
2.4.1 Hexosyltransferases
2.4.1.17
R01383 UDP-glucuronate + ROH <=> UDP + beta-D-Glucuronoside
IUBMB reaction hierarchy [BR:br08202]
2. Transferase reactions
2.4.1.17
R09428 Acceptor <=> Acceptor beta-D-glucuronoside
R01383 ROH <=> beta-D-Glucuronoside
|
| Orthology |
|
| LinkDB |
|