Entry |
|
Name |
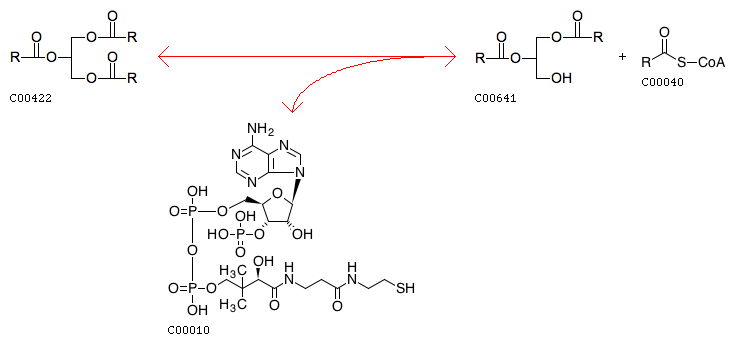
acyl-CoA:1,2-diacyl-sn-glycerol O-acyltransferase
|
Definition |
Triacylglycerol + CoA <=> 1,2-Diacyl-sn-glycerol + Acyl-CoA
|
Equation |
|
|
 |
Reaction class |
|
Enzyme |
|
Pathway |
|
Module |
M00089 | Triacylglycerol biosynthesis |
|
Brite |
Enzymatic reactions [BR:br08201]
2. Transferase reactions
2.3 Acyltransferases
2.3.1 Transferring groups other than aminoacyl groups
2.3.1.20
R02251 Triacylglycerol + CoA <=> 1,2-Diacyl-sn-glycerol + Acyl-CoA
IUBMB reaction hierarchy [BR:br08202]
2. Transferase reactions
2.3.1.20
R02251 Acyl-CoA
|
Orthology |
K18851 | diacylglycerol O-acyltransferase / trehalose O-mycolyltransferase / mycolyltransferase Ag85 [EC:2.3.1.20 2.3.1.122 2.3.1.-] |
|
Other DBs |
|
LinkDB |
|