KEGG   REACTION: R02561
Entry
R02561                      Reaction                               
Name
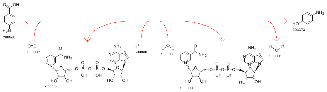
4-aminobenzoate,NADH:oxygen oxidoreductase (1-hydroxylating, decarboxylating)
Definition
4-Aminobenzoate + Oxygen + NADH + H+ <=> 4-Hydroxyaniline + CO2 + NAD+ + H2O
Equation
Comment
NADPH (see R02562)
Reaction class
RC00001  C00003_C00004
RC00115  C00568_C02372
Enzyme
Pathway
rn00627  Aminobenzoate degradation
rn01120  Microbial metabolism in diverse environments
Brite
Enzymatic reactions [BR:br08201]
 1. Oxidoreductase reactions
  1.14  Acting on paired donors, with incorporation or reduction of molecular oxygen
   1.14.13  With NADH or NADPH as one donor, and incorporation of one atom of oxygen into the other donor
    1.14.13.27
     R02561  4-Aminobenzoate + Oxygen + NADH + H+ <=> 4-Hydroxyaniline + CO2 + NAD+ + H2O
Other DBs
RHEA: 11055
LinkDB

DBGET integrated database retrieval system