| Entry |
|
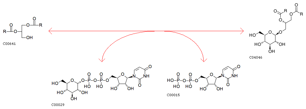
| Name |
UDP-alpha-D-glucose:1,2-diacyl-sn-glycerol 3-beta-D-glucosyltransferase
|
| Definition |
UDP-glucose + 1,2-Diacyl-sn-glycerol <=> UDP + 3-D-Glucosyl-1,2-diacylglycerol
|
| Equation |
|
|
 |
| Remark |
|
| Reaction class |
|
| Enzyme |
|
| Pathway |
|
| Brite |
Enzymatic reactions [BR:br08201]
2. Transferase reactions
2.4 Glycosyltransferases
2.4.1 Hexosyltransferases
2.4.1.315
R02689 UDP-glucose + 1,2-Diacyl-sn-glycerol <=> UDP + 3-D-Glucosyl-1,2-diacylglycerol
2.4.1.336
R02689 UDP-glucose + 1,2-Diacyl-sn-glycerol <=> UDP + 3-D-Glucosyl-1,2-diacylglycerol
|
| Orthology |
| K03429 | processive 1,2-diacylglycerol beta-glucosyltransferase [EC:2.4.1.315] |
| K19004 | processive 1,2-diacylglycerol beta-glycosyltransferase [EC:2.4.1.315 2.4.1.-] |
|
| Other DBs |
|
| LinkDB |
|