| Entry |
|
| Name |
P1,P4-bis(5'-nucleosyl)-tetraphosphate nucleotidohydrolase
|
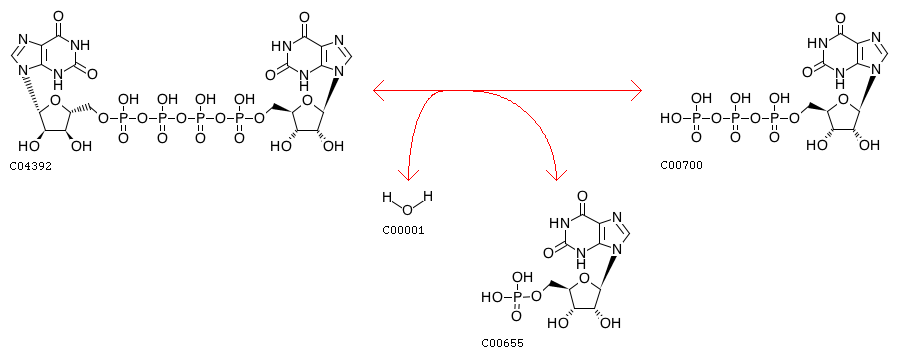
| Definition |
P1,P4-Bis(5'-xanthosyl) tetraphosphate + H2O <=> XTP + Xanthosine 5'-phosphate
|
| Equation |
|
|
 |
| Reaction class |
| RC00002 | C00655_C04392 C00700_C04392 |
|
| Enzyme |
|
| Pathway |
|
| Brite |
Enzymatic reactions [BR:br08201]
3. Hydrolase reactions
3.6 Acting on acid anhydrides
3.6.1 In phosphorus-containing anhydrides
3.6.1.17
R02805 P1,P4-Bis(5'-xanthosyl) tetraphosphate + H2O <=> XTP + Xanthosine 5'-phosphate
|
| Orthology |
|
| LinkDB |
|