Entry |
|
Definition |
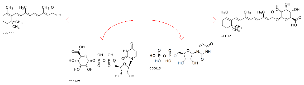
Retinoate + UDP-glucuronate <=> all-trans-Retinoyl-beta-glucuronide + UDP
|
Equation |
|
|
 |
Comment |
Ref:1. Biochim Biophys Acta 1996; 1289(2): 284-290
UGT2B7
|
Reaction class |
|
Enzyme |
|
Pathway |
|
Brite |
Enzymatic reactions [BR:br08201]
2. Transferase reactions
2.4 Glycosyltransferases
2.4.1 Hexosyltransferases
2.4.1.17
R02902 Retinoate + UDP-glucuronate <=> all-trans-Retinoyl-beta-glucuronide + UDP
IUBMB reaction hierarchy [BR:br08202]
2. Transferase reactions
2.4.1.17
R09428 Acceptor <=> Acceptor beta-D-glucuronoside
R02902 Retinoate <=> all-trans-Retinoyl-beta-glucuronide
|
Orthology |
|
LinkDB |
|