KEGG   REACTION: R02942
Entry
R02942                      Reaction                               
Name
acetylsalicylate O-acetylhydrolase
Definition
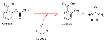
Aspirin + H2O <=> Salicylate + Acetate
Equation
Reaction class
RC00475  C00033_C01405
RC00476  C00805_C01405
Enzyme
Brite
Enzymatic reactions [BR:br08201]
 3. Hydrolase reactions
  3.1  Acting on ester bonds
   3.1.1  Carboxylic-ester hydrolases
    3.1.1.55
     R02942  Aspirin + H2O <=> Salicylate + Acetate
Other DBs
RHEA: 11755
LinkDB

DBGET integrated database retrieval system