| Entry |
|
| Name |
UDPglucuronate beta-D-glucuronosyltransferase(acceptor-unspecific)
|
| Definition |
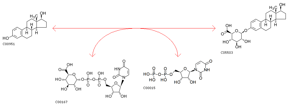
Estradiol-17beta + UDP-glucuronate <=> Estradiol-17beta 3-glucuronide + UDP
|
| Equation |
|
|
 |
| Reaction class |
|
| Enzyme |
|
| Pathway |
| rn00140 | Steroid hormone biosynthesis |
|
| Brite |
Enzymatic reactions [BR:br08201]
2. Transferase reactions
2.4 Glycosyltransferases
2.4.1 Hexosyltransferases
2.4.1.17
R03091 Estradiol-17beta + UDP-glucuronate <=> Estradiol-17beta 3-glucuronide + UDP
IUBMB reaction hierarchy [BR:br08202]
2. Transferase reactions
2.4.1.17
R09428 Acceptor <=> Acceptor beta-D-glucuronoside
R03091 Estradiol-17beta <=> Estradiol-17beta 3-glucuronide
|
| Orthology |
|
| LinkDB |
|