KEGG   REACTION: R03421
Entry
R03421                      Reaction                               
Name
N4-(beta-N-acetyl-D-glucosaminyl)-L-asparagine amidohydrolase
Definition
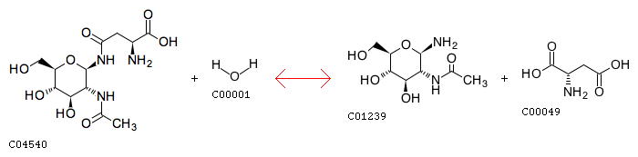
N4-(Acetyl-beta-D-glucosaminyl)asparagine + H2O <=> N-Acetyl-beta-D-glucosaminylamine + L-Aspartate
Equation
Reaction class
RC00090  C00049_C04540
RC00166  C01239_C04540
Enzyme
Brite
Enzymatic reactions [BR:br08201]
 3. Hydrolase reactions
  3.5  Acting on carbon-nitrogen bonds, other than peptide bonds
   3.5.1  In linear amides
    3.5.1.26
     R03421  N4-(Acetyl-beta-D-glucosaminyl)asparagine + H2O <=> N-Acetyl-beta-D-glucosaminylamine + L-Aspartate
Other DBs
RHEA: 11547
LinkDB

DBGET integrated database retrieval system