REACTION: R04264
Help
Entry
R04264 Reaction
Name
cholest-5-ene-3beta,7alpha-diol:NAD+ 3-oxidoreductase
Definition
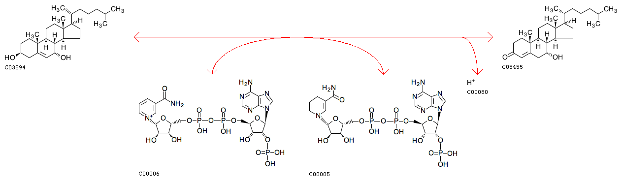
7alpha-Hydroxycholesterol + NADP+ <=> 7alpha-Hydroxycholest-4-en-3-one + NADPH + H+
Equation
C03594
+
C00006
<=>
C05455
+
C00005
+
C00080
Comment
NAD+ ( see
R04263
)
Reaction class
RC00001
C00005_C00006
RC01111
C03594_C05455
Enzyme
1.1.1.181
Brite
Enzymatic reactions [BR:
br08201
]
1. Oxidoreductase reactions
1.1 Acting on the CH-OH group of donors
1.1.1 With NAD+ or NADP+ as acceptor
1.1.1.181
R04264 7alpha-Hydroxycholesterol + NADP+ <=> 7alpha-Hydroxycholest-4-en-3-one + NADPH + H+
BRITE hierarchy
LinkDB
All DBs
DBGET
integrated database retrieval system