| Entry |
|
| Name |
3alpha-hydroxy-5beta-androstan-17-one:NADP+ oxidoreductase (B-specific)
|
| Definition |
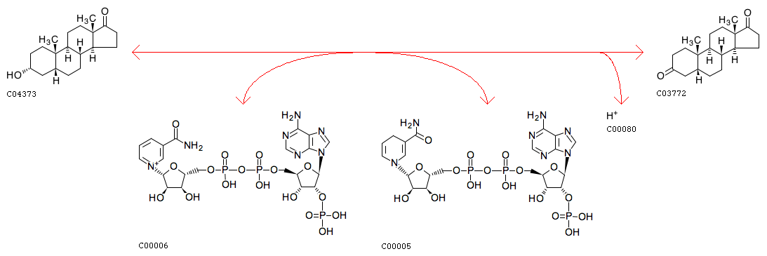
Etiocholanolone + NADP+ <=> 5beta-Androstane-3,17-dione + NADPH + H+
|
| Equation |
|
|
 |
| Reaction class |
|
| Enzyme |
|
| Pathway |
| rn00140 | Steroid hormone biosynthesis |
|
| Brite |
Enzymatic reactions [BR:br08201]
1. Oxidoreductase reactions
1.1 Acting on the CH-OH group of donors
1.1.1 With NAD+ or NADP+ as acceptor
1.1.1.50
R04310 Etiocholanolone + NADP+ <=> 5beta-Androstane-3,17-dione + NADPH + H+
IUBMB reaction hierarchy [BR:br08202]
1. Oxidoreductase reactions
1.1.1.50
R10423 3alpha-Hydroxysteroid <=> 3-Oxosteroid
R04310 Etiocholanolone <=> 5beta-Androstane-3,17-dione
|
| Orthology |
|
| LinkDB |
|