 | | REACTION: R04531 | |
| Entry |
|
| Name |
UDP-alpha-D-galactose:N-acetyllactosamine 3-alpha-D-galactosyltransferase
|
| Definition |
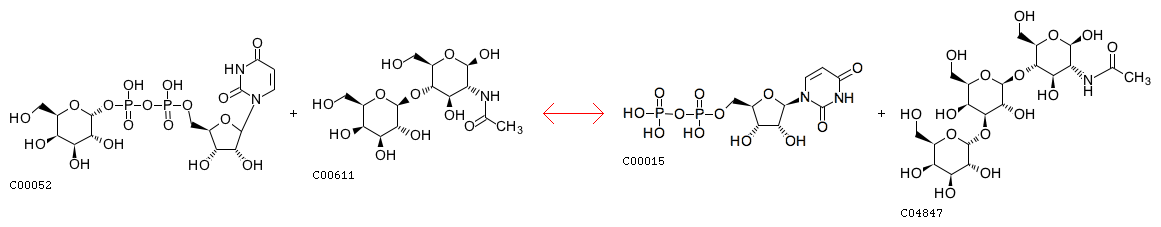
UDP-alpha-D-galactose + N-Acetyllactosamine <=> UDP + alpha-D-Galactosyl-1,3-beta-D-galactosyl-1,4-N-acetyl-D-glucosamine
|
| Equation |
|
|
 |
| Remark |
|
| Reaction class |
|
| Enzyme |
|
| Brite |
Enzymatic reactions [BR:br08201]
2. Transferase reactions
2.4 Glycosyltransferases
2.4.1 Hexosyltransferases
2.4.1.87
R04531 UDP-alpha-D-galactose + N-Acetyllactosamine <=> UDP + alpha-D-Galactosyl-1,3-beta-D-galactosyl-1,4-N-acetyl-D-glucosamine
IUBMB reaction hierarchy [BR:br08202]
2. Transferase reactions
2.4.1.87
R02791 beta-D-Galactosyl-(1->4)-N-acetyl-beta-D-glucosaminyl-R <=> alpha-D-Galactosyl-1,3-beta-D-galactosyl-1,4-N-acetyl-D-glucosaminyl-R
R04531 N-Acetyllactosamine <=> alpha-D-Galactosyl-1,3-beta-D-galactosyl-1,4-N-acetyl-D-glucosamine
|
| LinkDB |
|
|
|