KEGG   REACTION: R04632
Entry
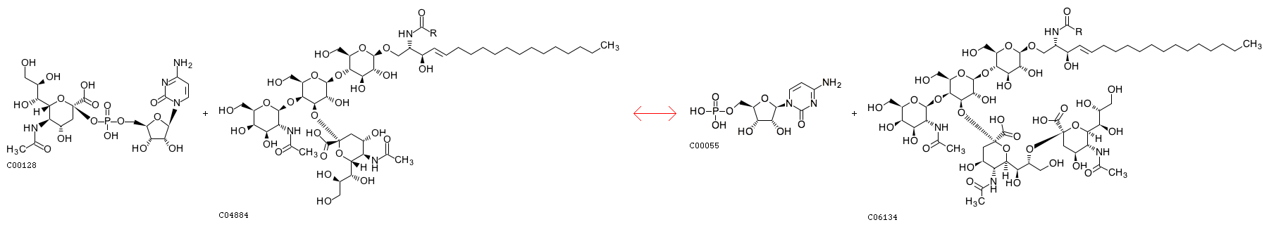
R04632                      Reaction                               
Definition
CMP-N-acetylneuraminate + N-Acetyl-D-galactosaminyl-(N-acetylneuraminyl)-D-galactosyl-D-glucosylceramide <=> CMP + GD2
Equation
Remark
Same as: R06009
Reaction class
RC00009  C00055_C00128
RC00265  C04884_C06134
Enzyme
Brite
Enzymatic reactions [BR:br08201]
 2. Transferase reactions
  2.4  Glycosyltransferases
   2.4.3  Sialyltransferases
    2.4.3.8
     R04632  CMP-N-acetylneuraminate + N-Acetyl-D-galactosaminyl-(N-acetylneuraminyl)-D-galactosyl-D-glucosylceramide <=> CMP + GD2
LinkDB

DBGET integrated database retrieval system