KEGG   REACTION: R04665
Entry
R04665                      Reaction                               
Name
UDP-N-acetyl-D-glucosamine:6-[2-(N-acetyl-beta-D-glucosaminyl)-alpha-D-mannosyl]-glycoprotein 6-beta-N-acetyl-D-glucosaminyltransferase
Definition
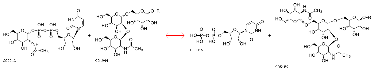
UDP-N-acetyl-alpha-D-glucosamine + 6-(2-[N-Acetyl-beta-D-glucosaminyl]-alpha-D-mannosyl)-beta-D-mannosyl-R <=> UDP + 6-(2,6-Bis[N-acetyl-beta-D-glucosaminyl]-alpha-D-mannosyl)-beta-D-mannosyl-R
Equation
Reaction class
RC00005  C00015_C00043
RC00059  C04944_C05159
Enzyme
Brite
Enzymatic reactions [BR:br08201]
 2. Transferase reactions
  2.4  Glycosyltransferases
   2.4.1  Hexosyltransferases
    2.4.1.155
     R04665  UDP-N-acetyl-alpha-D-glucosamine + 6-(2-[N-Acetyl-beta-D-glucosaminyl]-alpha-D-mannosyl)-beta-D-mannosyl-R <=> UDP + 6-(2,6-Bis[N-acetyl-beta-D-glucosaminyl]-alpha-D-mannosyl)-beta-D-mannosyl-R
Glycosyltransferase reactions [br08203.html]
 N-Acetylglucosaminyltransferase reactions
  R04665
LinkDB

DBGET integrated database retrieval system