REACTION: R04875
Help
Entry
R04875 Reaction
Definition
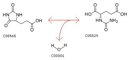
Hydantoin-5-propionate + H2O <=> N-Carbamyl-L-glutamate
Equation
C05565
+
C00001
<=>
C05829
Reaction class
RC00680
C05565_C05829
Pathway
rn00340
Histidine metabolism
LinkDB
All DBs
RCLASS: RC00680
Help
Entry
RC00680 RClass
Definition
C5x-C6a:N1x+*-*+O6a:C1y+O5x-C1c+O6a
N1x-N1a:C5x-*:C5x-C5a
Reactant pair
C00438_C03703
C00499_C02350
C05281_C20846
C05565_C05829
C16630_C16631
C21028_C21029
Related class
DB search
Reaction
R02284
R02425
R03055
R04875
R08227
R10777
Enzyme
3.5.2.1
3.5.2.2
3.5.2.4
3.5.2.5
Pathway
rn00230
Purine metabolism
rn00240
Pyrimidine metabolism
rn00340
Histidine metabolism
rn00983
Drug metabolism - other enzymes
rn01100
Metabolic pathways
rn01120
Microbial metabolism in diverse environments
RModule
RM024
Pyrimidine degradation
Orthology
K01464
dihydropyrimidinase [EC:
3.5.2.2
]
K01466
allantoinase [EC:
3.5.2.5
]
K16842
allantoinase [EC:
3.5.2.5
]
K19794
barbiturase [EC:
3.5.2.1
]
DBGET
integrated database retrieval system