REACTION: R05124
Help
Entry
R05124 Reaction
Name
codeine:NADP+ oxidoreductase
Definition
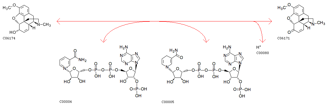
Codeine + NADP+ <=> Codeinone + NADPH + H+
Equation
C06174
+
C00006
<=>
C06171
+
C00005
+
C00080
Reaction class
RC00001
C00005_C00006
RC00206
C06171_C06174
Enzyme
1.1.1.247
Pathway
rn00950
Isoquinoline alkaloid biosynthesis
rn01100
Metabolic pathways
rn01110
Biosynthesis of secondary metabolites
Brite
Enzymatic reactions [BR:
br08201
]
1. Oxidoreductase reactions
1.1 Acting on the CH-OH group of donors
1.1.1 With NAD+ or NADP+ as acceptor
1.1.1.247
R05124 Codeine + NADP+ <=> Codeinone + NADPH + H+
BRITE hierarchy
Orthology
K13394
codeinone reductase [EC:
1.1.1.247
]
Other DBs
RHEA:
19212
LinkDB
All DBs
DBGET
integrated database retrieval system