REACTION: R05321
Help
Entry
R05321 Reaction
Name
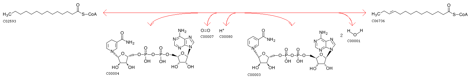
n-tetradecanoyl-CoA,NADPH2:O2 oxidoreductase [11-(E) desaturating]
Definition
Tetradecanoyl-CoA + NADH + Oxygen + H+ <=> (E)-11-Tetradecenoyl-CoA + NAD+ + 2 H2O
Equation
C02593
+
C00004
+
C00007
+
C00080
<=>
C06736
+
C00003
+ 2
C00001
Reaction class
RC00001
C00003_C00004
RC00917
C02593_C06736
LinkDB
All DBs
DBGET
integrated database retrieval system