KEGG   REACTION: R05475
Entry
R05475                      Reaction                               
Definition
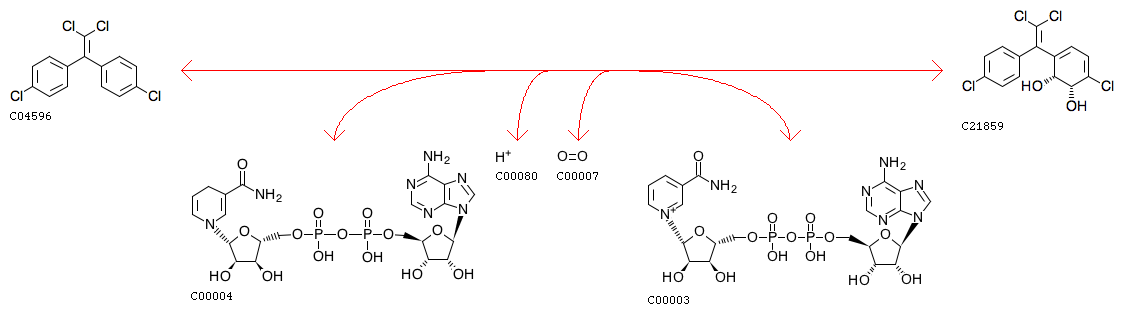
1,1-Dichloro-2,2-bis(4-chlorophenyl)ethylene + NADH + H+ + Oxygen <=> cis-3-[2,2-Dichloro-1-(4-chlorophenyl)vinyl]-6-chlorocyclohexa-3,5-diene-1,2-diol + NAD+
Equation
Comment
DDE 2,3-dioxygenase
Reaction class
RC00267  C04596_C21859
Enzyme
1.14.12.-
Pathway
rn00621  Dioxin degradation
rn01120  Microbial metabolism in diverse environments
rn01220  Degradation of aromatic compounds
Brite
Enzymatic reactions [BR:br08201]
 1. Oxidoreductase reactions
  1.14  Acting on paired donors, with incorporation or reduction of molecular oxygen
   1.14.12  With NADH or NADPH as one donor, and incorporation of two atoms of oxygen into the other donor
    1.14.12.-
     R05475  1,1-Dichloro-2,2-bis(4-chlorophenyl)ethylene + NADH + H+ + Oxygen <=> cis-3-[2,2-Dichloro-1-(4-chlorophenyl)vinyl]-6-chlorocyclohexa-3,5-diene-1,2-diol + NAD+
Orthology
K08689  biphenyl 2,3-dioxygenase subunit alpha [EC:1.14.12.18]
K15750  biphenyl 2,3-dioxygenase subunit beta [EC:1.14.12.18]
K18087  biphenyl 2,3-dioxygenase ferredoxin component
K18088  biphenyl 2,3-dioxygenase ferredoxin reductase component [EC:1.18.1.3]
LinkDB

DBGET integrated database retrieval system