| Entry |
|
| Definition |
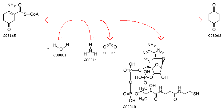
2-Amino-5-oxocyclohex-1-enecarbonyl-CoA + 2 H2O <=> 1,4-Cyclohexanedione + Ammonia + CO2 + CoA
|
| Equation |
|
|
 |
| Comment |
|
| Reaction class |
|
| Pathway |
| rn01120 | Microbial metabolism in diverse environments |
|
| Reference |
|
| Authors |
Langkau B, Ghisla S, Buder R, Ziegler K, Fuchs G. |
| Title |
2-Aminobenzoyl-CoA monooxygenase/reductase, a novel type of flavoenzyme. Identification of the reaction products. |
| Journal |
|
| LinkDB |
|