KEGG   REACTION: R05555
Entry
R05555                      Reaction                               
Name
farnesyl diphosphate:isopentenyl diphosphate farnesyl cistransferase
Definition
trans,trans-Farnesyl diphosphate + Isopentenyl diphosphate <=> trans,trans,cis-Geranylgeranyl diphosphate + Diphosphate
Equation
Reaction class
RC00279  C00129_C11356
Enzyme
2.5.1.-
Brite
Enzymatic reactions [BR:br08201]
 2. Transferase reactions
  2.5  Transferring alkyl or aryl groups, other than methyl groups
   2.5.1  Transferring alkyl or aryl groups, other than methyl groups (only sub-subclass identified to date)
    2.5.1.-
     R05555  trans,trans-Farnesyl diphosphate + Isopentenyl diphosphate <=> trans,trans,cis-Geranylgeranyl diphosphate + Diphosphate
Other DBs
RHEA: 31282
LinkDB

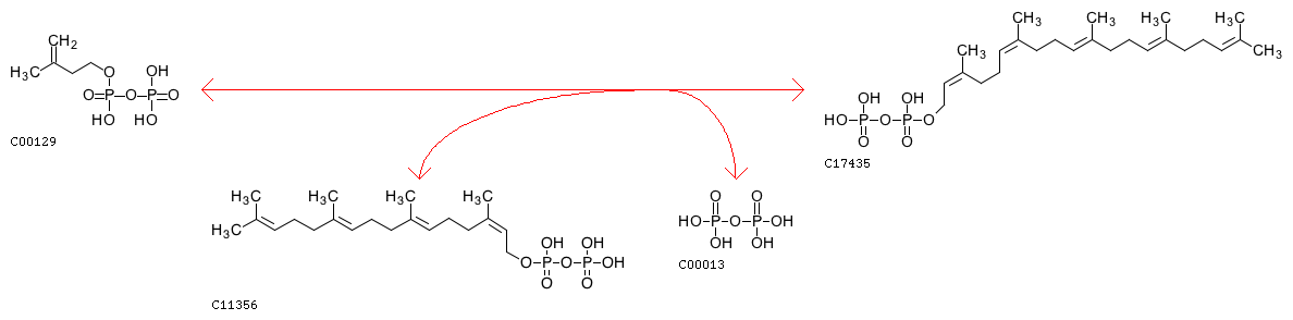
KEGG   REACTION: R08748
Entry
R08748                      Reaction                               
Name
trans,trans,cis-geranylgeranyl-diphosphate:isopentenyl-diphosphate geranylgeranylcistransferase;
geranylneryl-diphosphate:isopentenyl-diphosphate geranylnerylcistransferase
Definition
trans,trans,cis-Geranylgeranyl diphosphate + Isopentenyl diphosphate <=> di-trans,poly-cis-Pentaprenyl diphosphate + Diphosphate
Equation
Reaction class
RC00279  C00129_C17435
Enzyme
2.5.1.-
Brite
Enzymatic reactions [BR:br08201]
 2. Transferase reactions
  2.5  Transferring alkyl or aryl groups, other than methyl groups
   2.5.1  Transferring alkyl or aryl groups, other than methyl groups (only sub-subclass identified to date)
    2.5.1.-
     R08748  trans,trans,cis-Geranylgeranyl diphosphate + Isopentenyl diphosphate <=> di-trans,poly-cis-Pentaprenyl diphosphate + Diphosphate
LinkDB

KEGG   REACTION: R08749
Entry
R08749                      Reaction                               
Name
ditrans,dicis-pentaprenyl-diphosphate:isopentenyl-diphosphate pentaprenylcistransferase
Definition
di-trans,poly-cis-Pentaprenyl diphosphate + Isopentenyl diphosphate <=> di-trans,poly-cis-Hexaprenyl diphosphate + Diphosphate
Equation
Reaction class
RC00279  C00129_C17434
Enzyme
2.5.1.-
Brite
Enzymatic reactions [BR:br08201]
 2. Transferase reactions
  2.5  Transferring alkyl or aryl groups, other than methyl groups
   2.5.1  Transferring alkyl or aryl groups, other than methyl groups (only sub-subclass identified to date)
    2.5.1.-
     R08749  di-trans,poly-cis-Pentaprenyl diphosphate + Isopentenyl diphosphate <=> di-trans,poly-cis-Hexaprenyl diphosphate + Diphosphate
LinkDB

KEGG   REACTION: R08750
Entry
R08750                      Reaction                               
Name
ditrans,tricis-hexaprenyl-diphosphate:isopentenyl-diphosphate hexaprenylcistransferase
Definition
di-trans,poly-cis-Hexaprenyl diphosphate + Isopentenyl diphosphate <=> di-trans,poly-cis-Heptaprenyl diphosphate + Diphosphate
Equation
Reaction class
RC00279  C00129_C17436
Enzyme
2.5.1.-
Brite
Enzymatic reactions [BR:br08201]
 2. Transferase reactions
  2.5  Transferring alkyl or aryl groups, other than methyl groups
   2.5.1  Transferring alkyl or aryl groups, other than methyl groups (only sub-subclass identified to date)
    2.5.1.-
     R08750  di-trans,poly-cis-Hexaprenyl diphosphate + Isopentenyl diphosphate <=> di-trans,poly-cis-Heptaprenyl diphosphate + Diphosphate
LinkDB

KEGG   REACTION: R08751
Entry
R08751                      Reaction                               
Name
ditrans,tetracis-heptaprenyl-diphosphate:isopentenyl-diphosphate heptaprenylcistransferase
Definition
di-trans,poly-cis-Heptaprenyl diphosphate + Isopentenyl diphosphate <=> di-trans,poly-cis-Octaprenyl diphosphate + Diphosphate
Equation
Reaction class
RC00279  C00129_C17437
Enzyme
2.5.1.-
Brite
Enzymatic reactions [BR:br08201]
 2. Transferase reactions
  2.5  Transferring alkyl or aryl groups, other than methyl groups
   2.5.1  Transferring alkyl or aryl groups, other than methyl groups (only sub-subclass identified to date)
    2.5.1.-
     R08751  di-trans,poly-cis-Heptaprenyl diphosphate + Isopentenyl diphosphate <=> di-trans,poly-cis-Octaprenyl diphosphate + Diphosphate
LinkDB

KEGG   REACTION: R08752
Entry
R08752                      Reaction                               
Name
ditrans,pentacis-octaprenyl-diphosphate:isopentenyl-diphosphate octaprenylcistransferase
Definition
di-trans,poly-cis-Octaprenyl diphosphate + Isopentenyl diphosphate <=> di-trans,poly-cis-Nonaprenyl diphosphate + Diphosphate
Equation
Reaction class
RC00279  C00129_C17438
Enzyme
2.5.1.-
Brite
Enzymatic reactions [BR:br08201]
 2. Transferase reactions
  2.5  Transferring alkyl or aryl groups, other than methyl groups
   2.5.1  Transferring alkyl or aryl groups, other than methyl groups (only sub-subclass identified to date)
    2.5.1.-
     R08752  di-trans,poly-cis-Octaprenyl diphosphate + Isopentenyl diphosphate <=> di-trans,poly-cis-Nonaprenyl diphosphate + Diphosphate
LinkDB

KEGG   REACTION: R08753
Entry
R08753                      Reaction                               
Name
ditrans,hexacis-nonaprenyl-diphosphate:isopentenyl-diphosphate nonaprenylcistransferase
Definition
di-trans,poly-cis-Nonaprenyl diphosphate + Isopentenyl diphosphate <=> di-trans,poly-cis-Decaprenyl diphosphate + Diphosphate
Equation
Reaction class
RC00279  C00129_C04509
Enzyme
2.5.1.-
Brite
Enzymatic reactions [BR:br08201]
 2. Transferase reactions
  2.5  Transferring alkyl or aryl groups, other than methyl groups
   2.5.1  Transferring alkyl or aryl groups, other than methyl groups (only sub-subclass identified to date)
    2.5.1.-
     R08753  di-trans,poly-cis-Nonaprenyl diphosphate + Isopentenyl diphosphate <=> di-trans,poly-cis-Decaprenyl diphosphate + Diphosphate
LinkDB

KEGG   REACTION: R07269
Entry
R07269                      Reaction                               
Name
di-trans,poly-cis-decaprenyl-diphosphate:isopentenyl-diphosphate undecaprenylcistransferase
Definition
di-trans,poly-cis-Decaprenyl diphosphate + Isopentenyl diphosphate <=> Diphosphate + di-trans,poly-cis-Undecaprenyl diphosphate
Equation
Reaction class
RC00279  C00129_C04574
Enzyme
2.5.1.-
Brite
Enzymatic reactions [BR:br08201]
 2. Transferase reactions
  2.5  Transferring alkyl or aryl groups, other than methyl groups
   2.5.1  Transferring alkyl or aryl groups, other than methyl groups (only sub-subclass identified to date)
    2.5.1.-
     R07269  di-trans,poly-cis-Decaprenyl diphosphate + Isopentenyl diphosphate <=> Diphosphate + di-trans,poly-cis-Undecaprenyl diphosphate
LinkDB

DBGET integrated database retrieval system