KEGG   REACTION: R06131
Entry
R06131                      Reaction                               
Definition
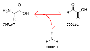
alpha-Amino acid <=> 2-Oxo acid + Ammonia
Equation
Comment
general reaction
Reaction class
RC00025  C00161_C05167
Enzyme
4.3.1.17        4.3.1.18        4.3.1.19        4.3.1.20
Brite
Enzymatic reactions [BR:br08201]
 4. Lyase reactions
  4.3  Carbon-nitrogen lyases
   4.3.1  Ammonia-lyases
    4.3.1.17
     R06131  alpha-Amino acid <=> 2-Oxo acid + Ammonia
    4.3.1.18
     R06131  alpha-Amino acid <=> 2-Oxo acid + Ammonia
    4.3.1.19
     R06131  alpha-Amino acid <=> 2-Oxo acid + Ammonia
    4.3.1.20
     R06131  alpha-Amino acid <=> 2-Oxo acid + Ammonia
LinkDB

DBGET integrated database retrieval system