KEGG   REACTION: R07066
Entry
R07066                      Reaction                               
Name
bromobenzene,NADPH:oxygen oxidoreductase (RH-hydroxylating or -epoxidizing)
Definition
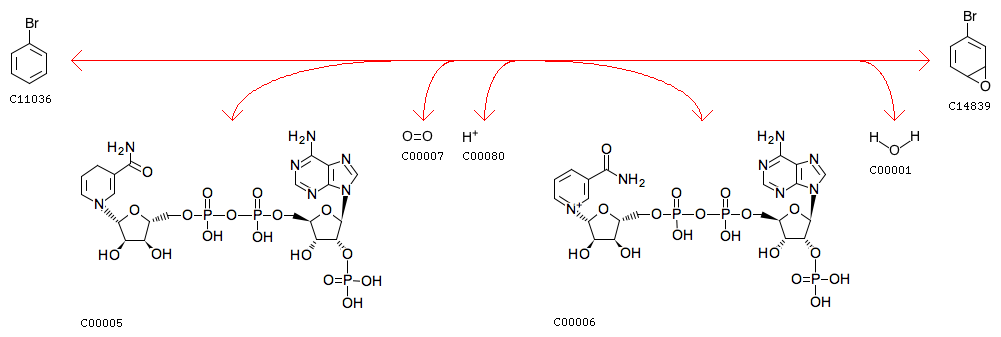
Bromobenzene + NADPH + Oxygen + H+ <=> Bromobenzene-3,4-oxide + NADP+ + H2O
Equation
Comment
CYP2B1/2, CYP2E1
Reaction class
RC00001  C00005_C00006
RC01738  C11036_C14839
Enzyme
1.14.14.-
Pathway
rn00980  Metabolism of xenobiotics by cytochrome P450
Brite
Enzymatic reactions [BR:br08201]
 1. Oxidoreductase reactions
  1.14  Acting on paired donors, with incorporation or reduction of molecular oxygen
   1.14.14  With reduced flavin or flavoprotein as one donor, and incorporation of one atom of oxygen into the other donor
    1.14.14.-
     R07066  Bromobenzene + NADPH + Oxygen + H+ <=> Bromobenzene-3,4-oxide + NADP+ + H2O
Orthology
K07415  cytochrome P450 family 2 subfamily E1 [EC:1.14.14.-]
LinkDB

DBGET integrated database retrieval system