KEGG   REACTION: R08590
Entry
R08590                      Reaction                               
Name
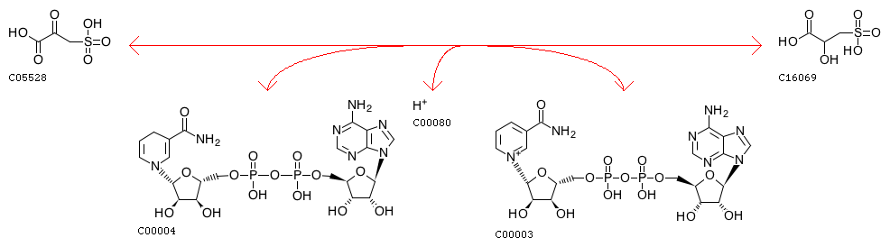
3-sulfolactate:NAD+ oxidoreductase
Definition
3-Sulfopyruvate + NADH + H+ <=> 3-Sulfolactate + NAD+
Equation
Reaction class
RC00001  C00003_C00004
RC00031  C05528_C16069
LinkDB

DBGET integrated database retrieval system