KEGG   REACTION: R08611
Entry
R08611                      Reaction                               
Name
5-formyluracil,2-oxoglutarate:oxygen oxidoreductase
Definition
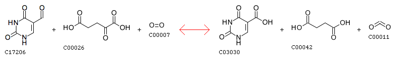
Uracil 5-carbaldehyde + 2-Oxoglutarate + Oxygen <=> Uracil 5-carboxylate + Succinate + CO2
Equation
Reaction class
RC00075  C03030_C17206
Enzyme
Brite
Enzymatic reactions [BR:br08201]
 1. Oxidoreductase reactions
  1.14  Acting on paired donors, with incorporation or reduction of molecular oxygen
   1.14.11  With 2-oxoglutarate as one donor, and incorporation of one atom of oxygen into each donor
    1.14.11.6
     R08611  Uracil 5-carbaldehyde + 2-Oxoglutarate + Oxygen <=> Uracil 5-carboxylate + Succinate + CO2
LinkDB

DBGET integrated database retrieval system