KEGG   REACTION: R08707
Entry
R08707                      Reaction                               
Name
N-linked-glycopeptide-(N-acetyl-beta-D-glucosaminyl)-L-asparagine amidohydrolase
Definition
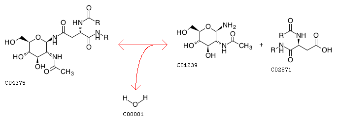
4-N-(N-Acetyl-D-glucosaminyl)-protein + H2O <=> N-Acetyl-beta-D-glucosaminylamine + Peptide L-aspartate
Equation
Reaction class
RC00090  C02871_C04375
RC00166  C01239_C04375
Enzyme
Brite
Enzymatic reactions [BR:br08201]
 3. Hydrolase reactions
  3.5  Acting on carbon-nitrogen bonds, other than peptide bonds
   3.5.1  In linear amides
    3.5.1.52
     R08707  4-N-(N-Acetyl-D-glucosaminyl)-protein + H2O <=> N-Acetyl-beta-D-glucosaminylamine + Peptide L-aspartate
LinkDB

DBGET integrated database retrieval system