| Entry |
|
| Name |
3alpha,7alpha,12alpha-trihydroxy-5beta-cholestanoate:CoA ligase (AMP-forming)
|
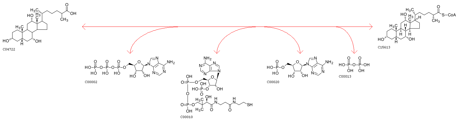
| Definition |
3alpha,7alpha,12alpha-Trihydroxy-5beta-cholestanoate + ATP + CoA <=> (25R)-3alpha,7alpha,12alpha-Trihydroxy-5beta-cholestan-26-oyl-CoA + AMP + Diphosphate
|
| Equation |
|
|
 |
| Reaction class |
|
| Enzyme |
|
| Pathway |
| rn00120 | Primary bile acid biosynthesis |
|
| Module |
| M00104 | Bile acid biosynthesis, cholesterol => cholate/chenodeoxycholate |
|
| Brite |
Enzymatic reactions [BR:br08201]
6. Ligase reactions
6.2 Forming carbon-sulfur bonds
6.2.1 Acid-thiol ligases
6.2.1.7
R08733 3alpha,7alpha,12alpha-Trihydroxy-5beta-cholestanoate + ATP + CoA <=> (25R)-3alpha,7alpha,12alpha-Trihydroxy-5beta-cholestan-26-oyl-CoA + AMP + Diphosphate
|
| Orthology |
| K08748 | solute carrier family 27 (fatty acid transporter), member 5 [EC:6.2.1.7] |
|
| LinkDB |
|