| Entry |
|
| Name |
chenodeoxycholate:CoA ligase (AMP-forming)
|
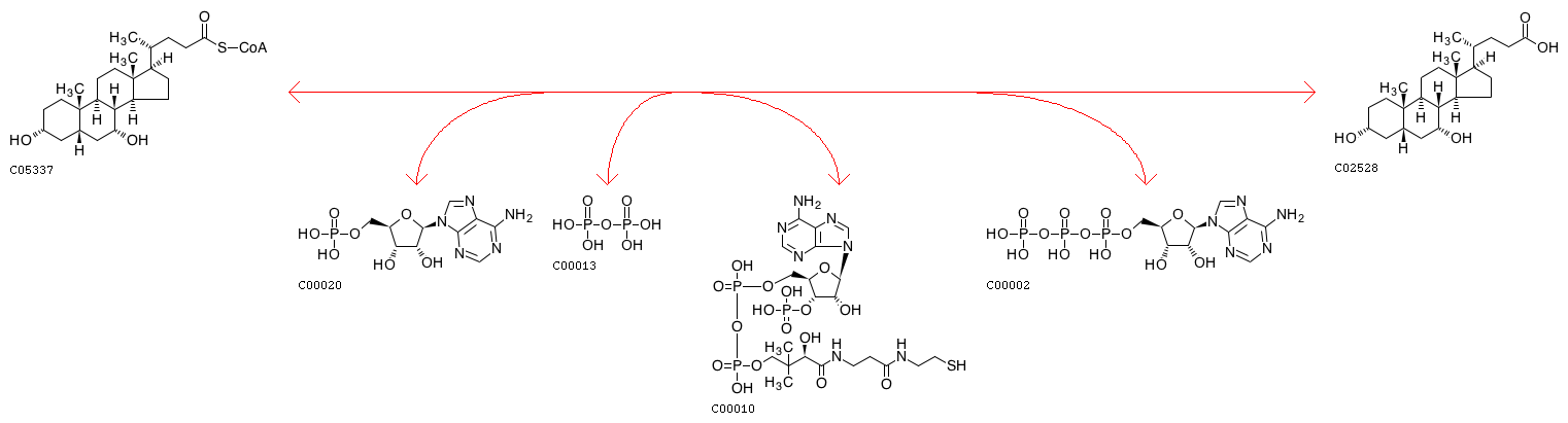
| Definition |
Chenodeoxycholoyl-CoA + AMP + Diphosphate <=> Chenodeoxycholate + CoA + ATP
|
| Equation |
|
|
 |
| Reaction class |
|
| Enzyme |
|
| Pathway |
| rn00120 | Primary bile acid biosynthesis |
|
| Brite |
Enzymatic reactions [BR:br08201]
6. Ligase reactions
6.2 Forming carbon-sulfur bonds
6.2.1 Acid-thiol ligases
6.2.1.7
R08743 Chenodeoxycholoyl-CoA + AMP + Diphosphate <=> Chenodeoxycholate + CoA + ATP
|
| Orthology |
| K08748 | solute carrier family 27 (fatty acid transporter), member 5 [EC:6.2.1.7] |
|
| Other DBs |
|
| LinkDB |
|