| Entry |
|
| Name |
ceramide:phosphatidylcholine cholinephosphotransferase
|
| Definition |
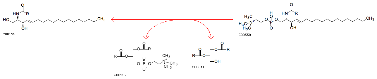
N-Acylsphingosine + Phosphatidylcholine <=> Sphingomyelin + 1,2-Diacyl-sn-glycerol
|
| Equation |
|
|
 |
| Reaction class |
| RC00017 | C00157_C00641 C00195_C00550 |
|
| Enzyme |
|
| Pathway |
|
| Brite |
Enzymatic reactions [BR:br08201]
2. Transferase reactions
2.7 Transferring phosphorus-containing groups
2.7.8 Transferases for other substituted phosphate groups
2.7.8.27
R08969 N-Acylsphingosine + Phosphatidylcholine <=> Sphingomyelin + 1,2-Diacyl-sn-glycerol
|
| Orthology |
|
| Other DBs |
|
| LinkDB |
|