Entry |
|
Name |
|
Formula |
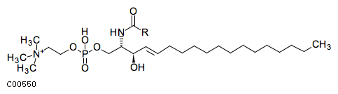
C24H49N2O6PR
|
Structure |

|
Remark |
|
Comment |
Generic compound in reaction hierarchy
|
Reaction |
|
Pathway |
|
Network |
|
Enzyme |
|
Brite |
Compounds with biological roles [BR:br08001]
Lipids
Phospholipids
Phosphosphingolipids
C00550 Sphingomyelin
Lipids [BR:br08002]
SP Sphingolipids
SP03 Phosphosphingolipids
SP0301 Ceramide phosphocholines (sphingomyelins)
C00550 Sphingomyelin
Anatomical Therapeutic Chemical (ATC) classification [BR:br08303]
A ALIMENTARY TRACT AND METABOLISM
A05 BILE AND LIVER THERAPY
A05B LIVER THERAPY, LIPOTROPICS
A05BA Liver therapy
A05BA10 Phospholipids
C00550 Sphingomyelin
|
Other DBs |
|
LinkDB |
|
KCF data |
ATOM 34
1 C1c C 20.7769 -16.5294
2 C1b C 19.5634 -17.2463
3 C1c C 22.0021 -17.2217
4 N1b N 20.7582 -15.1328
5 O2b O 18.3510 -16.5608
6 C2b C 23.2086 -16.5119
7 O1a O 22.0208 -18.6254
8 C5a C 21.9589 -14.4230
9 P1b P 17.1502 -17.2651
10 C2b C 24.4279 -17.1915
11 R R 23.1784 -15.1026
12 O5a O 21.9473 -13.0195
13 O2b O 15.9309 -16.5783
14 O1c O 17.1374 -15.8685
15 O1c O 17.1619 -18.6615
16 C1b C 25.6473 -16.4805
17 C1b C 14.7302 -17.2894
18 C1b C 26.8666 -17.1671
19 C1b C 13.5109 -16.5970
20 C1b C 28.0733 -16.4559
21 N1d N 12.3102 -17.3140 #+
22 C1b C 29.2985 -17.1426
23 C1a C 12.2914 -15.9115
24 C1a C 11.9429 -18.6556
25 C1a C 10.9566 -17.6694
26 C1b C 30.5050 -16.4385
27 C1b C 31.7243 -17.1181
28 C1b C 32.9437 -16.4071
29 C1b C 34.1630 -17.0937
30 C1b C 35.3695 -16.3896
31 C1b C 36.6006 -17.0690
32 C1b C 37.8082 -16.3580
33 C1b C 39.0334 -17.0448
34 C1a C 40.2401 -16.3405
BOND 33
1 1 2 1
2 1 3 1
3 1 4 1 #Down
4 2 5 1
5 3 6 1
6 3 7 1 #Up
7 4 8 1
8 5 9 1
9 6 10 2
10 8 11 1
11 8 12 2
12 9 13 1
13 9 14 1
14 9 15 2
15 10 16 1
16 13 17 1
17 16 18 1
18 17 19 1
19 18 20 1
20 19 21 1
21 20 22 1
22 21 23 1
23 21 24 1
24 21 25 1
25 22 26 1
26 26 27 1
27 27 28 1
28 28 29 1
29 29 30 1
30 30 31 1
31 31 32 1
32 32 33 1
33 33 34 1
|