KEGG   REACTION: R09424
Entry
R09424                      Reaction                               
Definition
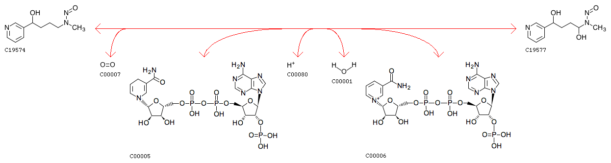
4-(Methylnitrosamino)-1-(3-pyridyl)-1-butanol + Oxygen + NADPH + H+ <=> 1-(Methylnitrosoamino)-4-(3-pyridinyl)-1,4-butanediol + H2O + NADP+
Equation
Comment
CYP2A6, CYP2A13
Reaction class
RC00001  C00005_C00006
RC02531  C19574_C19577
Enzyme
1.14.14.1       1.14.14.-
Pathway
rn00980  Metabolism of xenobiotics by cytochrome P450
Brite
Enzymatic reactions [BR:br08201]
 1. Oxidoreductase reactions
  1.14  Acting on paired donors, with incorporation or reduction of molecular oxygen
   1.14.14  With reduced flavin or flavoprotein as one donor, and incorporation of one atom of oxygen into the other donor
    1.14.14.1
     R09424  4-(Methylnitrosamino)-1-(3-pyridyl)-1-butanol + Oxygen + NADPH + H+ <=> 1-(Methylnitrosoamino)-4-(3-pyridinyl)-1,4-butanediol + H2O + NADP+
    1.14.14.-
     R09424  4-(Methylnitrosamino)-1-(3-pyridyl)-1-butanol + Oxygen + NADPH + H+ <=> 1-(Methylnitrosoamino)-4-(3-pyridinyl)-1,4-butanediol + H2O + NADP+
Orthology
K17683  cytochrome P450 family 2 subfamily A6 [EC:1.14.14.-]
K17685  cytochrome P450 family 2 subfamily A13 [EC:1.14.14.1]
LinkDB

DBGET integrated database retrieval system