| Entry |
|
| Name |
(2E,6E)-farnesyl-diphosphate diphosphate-lyase (germacrene-C-forming)
|
| Definition |
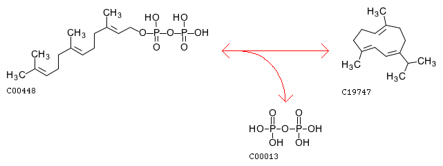
trans,trans-Farnesyl diphosphate <=> Germacrene C + Diphosphate
|
| Equation |
|
|
 |
| Reaction class |
|
| Enzyme |
|
| Pathway |
| rn00909 | Sesquiterpenoid and triterpenoid biosynthesis |
|
| Brite |
Enzymatic reactions [BR:br08201]
4. Lyase reactions
4.2 Carbon-oxygen lyases
4.2.3 Acting on phosphates
4.2.3.60
R09624 trans,trans-Farnesyl diphosphate <=> Germacrene C + Diphosphate
|
| Orthology |
|
| Other DBs |
|
| LinkDB |
|