KEGG   REACTION: R09826
Entry
R09826                      Reaction                               
Name
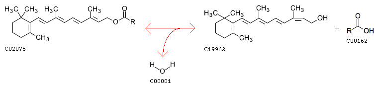
all-trans-retinyl ester acylhydrolase, 13-cis retinol forming
Definition
Retinyl ester + H2O <=> 13-cis-Retinol + Fatty acid
Equation
Reaction class
RC00020  C00162_C02075
RC02665  C02075_C19962
Enzyme
Brite
Enzymatic reactions [BR:br08201]
 3. Hydrolase reactions
  3.1  Acting on ester bonds
   3.1.1  Carboxylic-ester hydrolases
    3.1.1.90
     R09826  Retinyl ester + H2O <=> 13-cis-Retinol + Fatty acid
Other DBs
RHEA: 31782
LinkDB

DBGET integrated database retrieval system