KEGG   REACTION: R09908
Entry
R09908                      Reaction                               
Name
(3S)-2,3-epoxy-2,3-dihydrosqualene mutase (cyclizing, achilleol-B-forming)
Definition
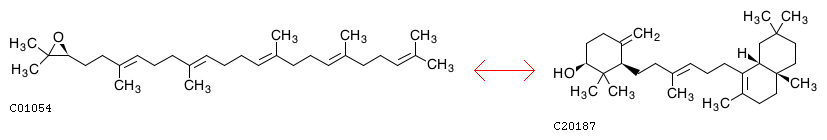
(S)-2,3-Epoxysqualene <=> Achilleol B
Equation
Reaction class
RC02710  C01054_C20187
Enzyme
Pathway
rn00909  Sesquiterpenoid and triterpenoid biosynthesis
Brite
Enzymatic reactions [BR:br08201]
 5. Isomerase reactions
  5.4  Intramolecular transferases
   5.4.99  Transferring other groups
    5.4.99.48
     R09908  (S)-2,3-Epoxysqualene <=> Achilleol B
Orthology
K19011  achilleol B synthase [EC:5.4.99.48]
Other DBs
RHEA: 31858
LinkDB

DBGET integrated database retrieval system