| Entry |
|
| Name |
UDP-N,N'-diacetylbacillosamine hydrolase (2-epimerising)
|
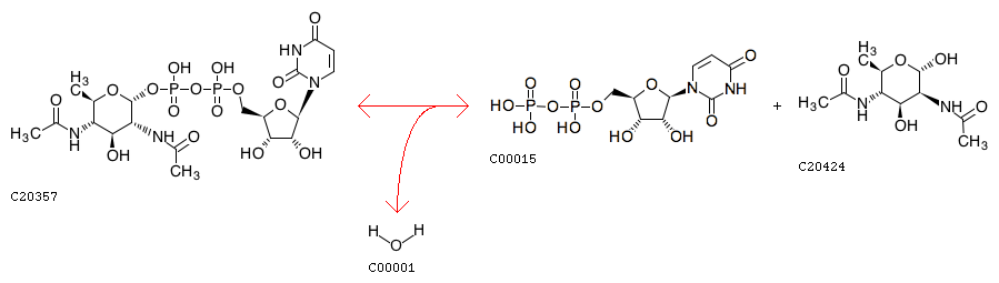
| Definition |
UDP-N,N'-diacetylbacillosamine + H2O <=> UDP + 2,4-Diacetamido-2,4,6-trideoxy-D-mannopyranose
|
| Equation |
|
|
 |
| Reaction class |
|
| Enzyme |
|
| Pathway |
| rn00541 | Biosynthesis of various nucleotide sugars |
| rn01250 | Biosynthesis of nucleotide sugars |
|
| Module |
| M01011 | CMP-Leg5Ac7Ac biosynthesis, UDP-BacNAc4NAc => CMP-Leg5Ac7Ac |
|
| Brite |
Enzymatic reactions [BR:br08201]
3. Hydrolase reactions
3.2 Glycosylases
3.2.1 Glycosidases, i.e. enzymes that hydrolyse O- and S-glycosyl compounds
3.2.1.184
R10187 UDP-N,N'-diacetylbacillosamine + H2O <=> UDP + 2,4-Diacetamido-2,4,6-trideoxy-D-mannopyranose
|
| Orthology |
| K18429 | GDP/UDP-N,N'-diacetylbacillosamine 2-epimerase (hydrolysing) [EC:3.2.1.184] |
|
| Other DBs |
|
| LinkDB |
|