KEGG   REACTION: R10442
Entry
R10442                      Reaction                               
Definition
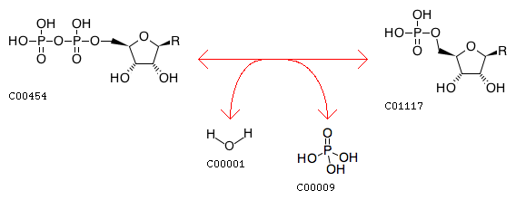
NDP + H2O <=> Nucleoside 5'-phosphate + Orthophosphate
Equation
Comment
the second step of two-step reaction (see R10443, R02319+R10442)
Reaction class
RC00002  C00454_C01117
Enzyme
Brite
Enzymatic reactions [BR:br08201]
 3. Hydrolase reactions
  3.6  Acting on acid anhydrides
   3.6.1  In phosphorus-containing anhydrides
    3.6.1.5
     R10442  NDP + H2O <=> Nucleoside 5'-phosphate + Orthophosphate
IUBMB reaction hierarchy [BR:br08202]
 3. Hydrolase reactions
  3.6.1.5
   R10442  NDP <=> Nucleoside 5'-phosphate
Other DBs
RHEA: 36802
LinkDB

DBGET integrated database retrieval system