KEGG   REACTION: R10630
Entry
R10630                      Reaction                               
Name
cyclic-ADP-ribose hydrolase
Definition
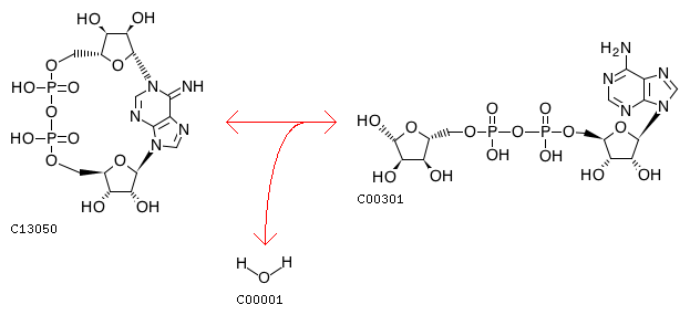
Cyclic ADP-ribose + H2O <=> ADP-ribose
Equation
Reaction class
RC03215  C00301_C13050
Enzyme
Brite
Enzymatic reactions [BR:br08201]
 3. Hydrolase reactions
  3.2  Glycosylases
   3.2.2  Hydrolysing N-glycosyl compounds
    3.2.2.6
     R10630  Cyclic ADP-ribose + H2O <=> ADP-ribose
Orthology
K01242  ADP-ribosyl cyclase 1 [EC:3.2.2.6 2.4.99.20]
K18152  ADP-ribosyl cyclase 2 [EC:3.2.2.6 2.4.99.20]
Other DBs
RHEA: 38618
LinkDB

DBGET integrated database retrieval system