| Entry |
|
| Name |
L-threonylcarbamoyladenylate:adenine in tRNA N6-L-threonylcarbamoyltransferase
|
| Definition |
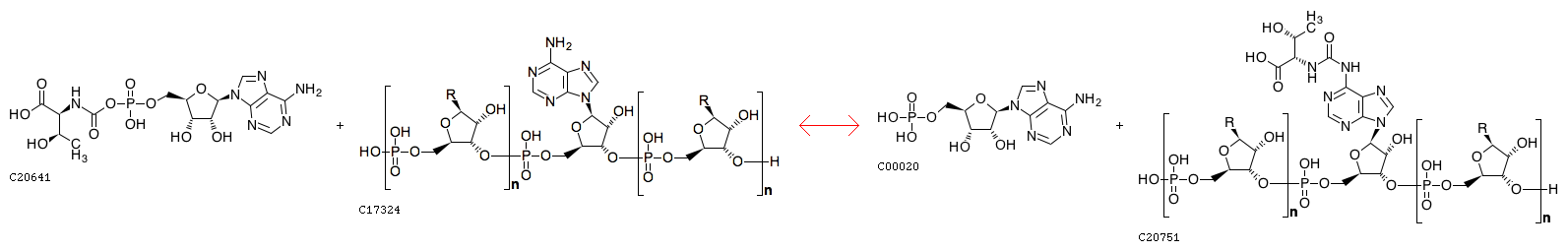
L-Threonylcarbamoyladenylate + tRNA adenine <=> AMP + N6-L-Threonylcarbamoyladenine in tRNA
|
| Equation |
|
|
 |
| Reaction class |
|
| Enzyme |
|
| Brite |
Enzymatic reactions [BR:br08201]
2. Transferase reactions
2.3 Acyltransferases
2.3.1 Transferring groups other than aminoacyl groups
2.3.1.234
R10648 L-Threonylcarbamoyladenylate + tRNA adenine <=> AMP + N6-L-Threonylcarbamoyladenine in tRNA
|
| Orthology |
|
| LinkDB |
|